Конкурс Eruditus 2009-2010 DELTA (RU)
Klausimas #1
Вычислите площадь треугольника ABC, вершины которого находятся в точках:
A(-3; 2); B(1; 2) и C(1; 4).
Atsakymų variantai rodomi tik registruotiems sistemos eTest.lt vartotojams. Mokytojo registracija, mokinio registracija
Taškų skaičius už teisingą atsakymą: 3
Klausimas #2
Какую часть квадрата составляет объединение его не заштрихованной части?
Atsakymų variantai rodomi tik registruotiems sistemos eTest.lt vartotojams. Mokytojo registracija, mokinio registracija
Taškų skaičius už teisingą atsakymą: 1
Klausimas #3
Вычислите значение выражения
Atsakymų variantai rodomi tik registruotiems sistemos eTest.lt vartotojams. Mokytojo registracija, mokinio registracija
Taškų skaičius už teisingą atsakymą: 1
Klausimas #4
Найдите значение коэффициента k‚ если известно‚ что график функции f(x) = kx2 проходит через точку T( - 8; -24 )
Atsakymų variantai rodomi tik registruotiems sistemos eTest.lt vartotojams. Mokytojo registracija, mokinio registracija
Taškų skaičius už teisingą atsakymą: 1
Klausimas #5
Квадрат сложен из четырех изображенных фигур. Какая фигура осталась неспользованной?
Atsakymų variantai rodomi tik registruotiems sistemos eTest.lt vartotojams. Mokytojo registracija, mokinio registracija
Taškų skaičius už teisingą atsakymą: 1
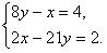
Klausimas #6
Решите систему уравнений:
Запишите ответ
Atsakymų variantai rodomi tik registruotiems sistemos eTest.lt vartotojams. Mokytojo registracija, mokinio registracija
Taškų skaičius už teisingą atsakymą: 3
Klausimas #7
Тело‚ брошенное вертикально вверх ‚ движется по закону
h ═ 19,6 t – 4,9t2 ( h – метры, t –секунды).
Каково наибольшее значение высоты подъема тела?
Atsakymų variantai rodomi tik registruotiems sistemos eTest.lt vartotojams. Mokytojo registracija, mokinio registracija
Taškų skaičius už teisingą atsakymą: 5
Klausimas #8
Прямоугольник состоит из четырех прямоугольников.По данным рисунка вычислите его площадь‚ если площади (см2) трех из них известны.
Atsakymų variantai rodomi tik registruotiems sistemos eTest.lt vartotojams. Mokytojo registracija, mokinio registracija
Taškų skaičius už teisingą atsakymą: 3
Klausimas #9
Сравните g(-3) и g(0), если g(x) =| 4-x | + | x-1|.
Atsakymų variantai rodomi tik registruotiems sistemos eTest.lt vartotojams. Mokytojo registracija, mokinio registracija
Taškų skaičius už teisingą atsakymą: 1
Klausimas #10
Стоимость куртки во время акции была снижена с 720 Lt до 547,2 Lt. На сколько процентов снижена цена куртки?
Atsakymų variantai rodomi tik registruotiems sistemos eTest.lt vartotojams. Mokytojo registracija, mokinio registracija
Taškų skaičius už teisingą atsakymą: 3
Klausimas #11
Решите уравнение: x2 + 3x – 4 = 0.
Atsakymų variantai rodomi tik registruotiems sistemos eTest.lt vartotojams. Mokytojo registracija, mokinio registracija
Taškų skaičius už teisingą atsakymą: 1
Klausimas #12
Биссектриссы равнобедренного треугольника ABC (AB = BC ) pusiaukraštinės susikerta taške M. пересекаются в точке M. Найдите длину отрезка BF, если см
Atsakymų variantai rodomi tik registruotiems sistemos eTest.lt vartotojams. Mokytojo registracija, mokinio registracija
Taškų skaičius už teisingą atsakymą: 1
Klausimas #13
По маршруту курсируют три автобуса с интервалом в 30 минут. С каким интервалом курсировали бы с той же средней скоростью по маршруту 5 автобусов?
Запишите ответ
Atsakymų variantai rodomi tik registruotiems sistemos eTest.lt vartotojams. Mokytojo registracija, mokinio registracija
Taškų skaičius už teisingą atsakymą: 3
Klausimas #14
Какими могут быть величины углов равнобедренной трапеции‚ которую диагональ делит на два равнобедренных треугольника?
Atsakymų variantai rodomi tik registruotiems sistemos eTest.lt vartotojams. Mokytojo registracija, mokinio registracija
Taškų skaičius už teisingą atsakymą: 1
Klausimas #15
Какие из точек не принадлежат графику функции
Atsakymų variantai rodomi tik registruotiems sistemos eTest.lt vartotojams. Mokytojo registracija, mokinio registracija
Taškų skaičius už teisingą atsakymą: 1
Klausimas #16
По данным рисунка найдите значение переменной y.
Atsakymų variantai rodomi tik registruotiems sistemos eTest.lt vartotojams. Mokytojo registracija, mokinio registracija
Taškų skaičius už teisingą atsakymą: 1
Klausimas #17
При каких значениях b уравнение x2 +b(3x + b ) + 5b + 6,25 = 0 не имеет решений?
Atsakymų variantai rodomi tik registruotiems sistemos eTest.lt vartotojams. Mokytojo registracija, mokinio registracija
Taškų skaičius už teisingą atsakymą: 5
Klausimas #18
Сколько можно составить пятизначных чисел в которых нет цифр5, 6 и 9 если цифры в числе не повторяются?
Atsakymų variantai rodomi tik registruotiems sistemos eTest.lt vartotojams. Mokytojo registracija, mokinio registracija
Taškų skaičius už teisingą atsakymą: 3
Klausimas #19
Найдите площадь закрашенного треугольника.
Atsakymų variantai rodomi tik registruotiems sistemos eTest.lt vartotojams. Mokytojo registracija, mokinio registracija
Taškų skaičius už teisingą atsakymą: 3
Klausimas #20
В танцевальном кружке 8 девочек и 6 мальчиков.
Сколькими различными способами можно составить 5 танцевальных пар из этих танцоров?
Atsakymų variantai rodomi tik registruotiems sistemos eTest.lt vartotojams. Mokytojo registracija, mokinio registracija
Taškų skaičius už teisingą atsakymą: 5
Klausimas #21
Какие из уравнений являются эквивалентными?
Atsakymų variantai rodomi tik registruotiems sistemos eTest.lt vartotojams. Mokytojo registracija, mokinio registracija
Taškų skaičius už teisingą atsakymą: 1
Klausimas #22
Соедините многочлены с соответствующими им способами разложения на множители.
| 1 20 x3y2 + 4x2y ... | ... Не раскладывается на множители | |
| 2 4a2 - 9 ... | ... Способ группировки | |
| 3 4a2 + 9 ... | ... Формула сокращенного умножения | |
| 4 a2 + ab – 5a – 5b ... | ... Вынесение общего множителя за скобки |
Taškų skaičius už teisingą atsakymą: 1
Klausimas #23
Какое наибольшее число суббот может быть в високосном году?
Atsakymų variantai rodomi tik registruotiems sistemos eTest.lt vartotojams. Mokytojo registracija, mokinio registracija
Taškų skaičius už teisingą atsakymą: 1
Klausimas #24
Вероятность события A равна 0,(3). Найдите вероятность события
Atsakymų variantai rodomi tik registruotiems sistemos eTest.lt vartotojams. Mokytojo registracija, mokinio registracija
Taškų skaičius už teisingą atsakymą: 1
Klausimas #25
Если
Atsakymų variantai rodomi tik registruotiems sistemos eTest.lt vartotojams. Mokytojo registracija, mokinio registracija
Taškų skaičius už teisingą atsakymą: 3
Klausimas #26
Вычислите: ( 2 - 3) - 1 + 3- 4 : 3- 2
Atsakymų variantai rodomi tik registruotiems sistemos eTest.lt vartotojams. Mokytojo registracija, mokinio registracija
Taškų skaičius už teisingą atsakymą: 1
Klausimas #27
Что можно сказать о графиках функций
Atsakymų variantai rodomi tik registruotiems sistemos eTest.lt vartotojams. Mokytojo registracija, mokinio registracija
Taškų skaičius už teisingą atsakymą: 5
Klausimas #28
Найдите область определения функции y = f(x) , если
Atsakymų variantai rodomi tik registruotiems sistemos eTest.lt vartotojams. Mokytojo registracija, mokinio registracija
Taškų skaičius už teisingą atsakymą: 3
Klausimas #29
При каких значениях m уравнение x2 + 2mx + m = 0 имеет два различных действительных решения.
Atsakymų variantai rodomi tik registruotiems sistemos eTest.lt vartotojams. Mokytojo registracija, mokinio registracija
Taškų skaičius už teisingą atsakymą: 3
Klausimas #30
Товар стоил 25 Lt . Когда он подорожал на 12%, спрос на него упал на 20%.
Как и на сколько процентов изменились денежные поступления за проданный товар?
Atsakymų variantai rodomi tik registruotiems sistemos eTest.lt vartotojams. Mokytojo registracija, mokinio registracija
Taškų skaičius už teisingą atsakymą: 3
Klausimas #31
Уравнения прямых l и m соответственно равны: y = ax + b и y = cx + d.
Установите какой из случаев соответствует рисунку?
Atsakymų variantai rodomi tik registruotiems sistemos eTest.lt vartotojams. Mokytojo registracija, mokinio registracija
Taškų skaičius už teisingą atsakymą: 5
Klausimas #32
Найдите область определения выражения:
Atsakymų variantai rodomi tik registruotiems sistemos eTest.lt vartotojams. Mokytojo registracija, mokinio registracija
Taškų skaičius už teisingą atsakymą: 3
Klausimas #33
Первые шесть членов арифметической прогрессии, если дана формула an члена прогрессии: an = ( - 1 )n ∙ 2 :
Atsakymų variantai rodomi tik registruotiems sistemos eTest.lt vartotojams. Mokytojo registracija, mokinio registracija
Taškų skaičius už teisingą atsakymą: 1
Klausimas #34
Сколько цифр в числе‚ которое получим после вычисления выражения 212 ∙58 ?
Atsakymų variantai rodomi tik registruotiems sistemos eTest.lt vartotojams. Mokytojo registracija, mokinio registracija
Taškų skaičius už teisingą atsakymą: 1
Klausimas #35
Чему равно значение выражения: ( 1 – 2 ) – (3 – 4 ) – (5 – 6 ) - .... - ( 99 – 100 ) ?
Atsakymų variantai rodomi tik registruotiems sistemos eTest.lt vartotojams. Mokytojo registracija, mokinio registracija
Taškų skaičius už teisingą atsakymą: 1
Klausimas #36
У пирамиды 7 граней. Сколько ребер у этой пирамиды?
Atsakymų variantai rodomi tik registruotiems sistemos eTest.lt vartotojams. Mokytojo registracija, mokinio registracija
Taškų skaičius už teisingą atsakymą: 1
Klausimas #37
На рисунке изображен четырехугольник BC = AD. Чему равна величина угла ADC?
Atsakymų variantai rodomi tik registruotiems sistemos eTest.lt vartotojams. Mokytojo registracija, mokinio registracija
Taškų skaičius už teisingą atsakymą: 1
Klausimas #38
Графиком функции y = f(x) является парабола.
Запишите уравнение параболы в виде y = a(x + m)2 + n.
Atsakymų variantai rodomi tik registruotiems sistemos eTest.lt vartotojams. Mokytojo registracija, mokinio registracija
Taškų skaičius už teisingą atsakymą: 3
Klausimas #39
В школе 54 абитуриента, среди которых 30 девушек.
Сколькими способами можно выбрать пару, состоящую из девушки и парня?
Atsakymų variantai rodomi tik registruotiems sistemos eTest.lt vartotojams. Mokytojo registracija, mokinio registracija
Taškų skaičius už teisingą atsakymą: 1
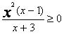
Klausimas #40
Решите неравенство
Atsakymų variantai rodomi tik registruotiems sistemos eTest.lt vartotojams. Mokytojo registracija, mokinio registracija
Taškų skaičius už teisingą atsakymą: 3
Klausimas #41
Что больше: sin300 или sin1500 ?
Atsakymų variantai rodomi tik registruotiems sistemos eTest.lt vartotojams. Mokytojo registracija, mokinio registracija
Taškų skaičius už teisingą atsakymą: 1
Klausimas #42
Сколько процентов всей фигуры составляет закрашенная часть?
Atsakymų variantai rodomi tik registruotiems sistemos eTest.lt vartotojams. Mokytojo registracija, mokinio registracija
Taškų skaičius už teisingą atsakymą: 1
Klausimas #43
Вычислите: 32010 + 32010 + 32010
Atsakymų variantai rodomi tik registruotiems sistemos eTest.lt vartotojams. Mokytojo registracija, mokinio registracija
Taškų skaičius už teisingą atsakymą: 1
Klausimas #44
Найдите x:
Atsakymų variantai rodomi tik registruotiems sistemos eTest.lt vartotojams. Mokytojo registracija, mokinio registracija
Taškų skaičius už teisingą atsakymą: 1
Klausimas #45
В соревнованиях по футболу участвуют 4 футбольные команды. Каждая команда встретилась с другой.
За победу команде присуждается 3 точки, за ничью - 1 точка.
Команды собрали: 5, 3, 3 и 2 точек.
Сколько было сыграно ничьих во время соревнований?
Atsakymų variantai rodomi tik registruotiems sistemos eTest.lt vartotojams. Mokytojo registracija, mokinio registracija
Taškų skaičius už teisingą atsakymą: 1
Klausimas #46
Из 29 учащихся английский язык изучают 19 учащихся, а немецкий – 14 учащихся.
Сколько учащихся знают два языка, если каждый из них изучает английский или немецкий языки.
Atsakymų variantai rodomi tik registruotiems sistemos eTest.lt vartotojams. Mokytojo registracija, mokinio registracija
Taškų skaičius už teisingą atsakymą: 1
Klausimas #47
Основанием прямоугольного параллепипеда является квадрат.
Сверху на него положена правильная пирамида.
Дано, что AO = 10.
Вычислите х‚ если объем пирамиды равен объему параллепипеда.
Atsakymų variantai rodomi tik registruotiems sistemos eTest.lt vartotojams. Mokytojo registracija, mokinio registracija
Taškų skaičius už teisingą atsakymą: 3
Klausimas #48
Вычислите:
Atsakymų variantai rodomi tik registruotiems sistemos eTest.lt vartotojams. Mokytojo registracija, mokinio registracija
Taškų skaičius už teisingą atsakymą: 1
Klausimas #49
Закон распределения случайной величины Х задан таблицей. Найдите значение неизвестной вероятности p, если:
| m | 1 | 2 | 3 | 4 |
| P(X=m) | 0,24 | 0,31 | p | 0,15 |
Atsakymų variantai rodomi tik registruotiems sistemos eTest.lt vartotojams. Mokytojo registracija, mokinio registracija
Taškų skaičius už teisingą atsakymą: 1
Klausimas #50
Площать каких фигур высчитывается по указанным формулам?
| 1 S = a2 ... | ... Stačiakampis | |
| 2 S = a ∙ b ... | ... Lygiagretainis arba rombas | |
| 3 S = a ∙ h ... | ... Kvadratas |
Taškų skaičius už teisingą atsakymą: 1





