Конкурс по математике КЕНГУРУ - 2005-5 уровень-Россия
Klausimas #1
Справедливо ли тождество?
(a2 + b2)(x2 + y2) – (ax + by)2 = (ay – bx)2
Atsakymų variantai rodomi tik registruotiems sistemos eTest.lt vartotojams. Mokytojo registracija, mokinio registracija
Taškų skaičius už teisingą atsakymą: 1
Klausimas #2
Справедливо ли тождество?
.jpg)
Atsakymų variantai rodomi tik registruotiems sistemos eTest.lt vartotojams. Mokytojo registracija, mokinio registracija
Taškų skaičius už teisingą atsakymą: 1
Klausimas #3
Справедливо ли тождество?
2005.jpg)
Atsakymų variantai rodomi tik registruotiems sistemos eTest.lt vartotojams. Mokytojo registracija, mokinio registracija
Taškų skaičius už teisingą atsakymą: 1
Klausimas #4
Справедливо ли тождество?
Atsakymų variantai rodomi tik registruotiems sistemos eTest.lt vartotojams. Mokytojo registracija, mokinio registracija
Taškų skaičius už teisingą atsakymą: 1
Klausimas #5
Справедливо ли тождество?
Atsakymų variantai rodomi tik registruotiems sistemos eTest.lt vartotojams. Mokytojo registracija, mokinio registracija
Taškų skaičius už teisingą atsakymą: 1
Klausimas #6
Верно ли утверждение?
Число 133 – простое.
Atsakymų variantai rodomi tik registruotiems sistemos eTest.lt vartotojams. Mokytojo registracija, mokinio registracija
Taškų skaičius už teisingą atsakymą: 1
Klausimas #7
Верно ли утверждение?
Пять разных монет можно разложить по четырем карманам более,
чем 1000 способами.
Atsakymų variantai rodomi tik registruotiems sistemos eTest.lt vartotojams. Mokytojo registracija, mokinio registracija
Taškų skaičius už teisingą atsakymą: 1
Klausimas #8
Верно ли утверждение?
Пять одинаковых монет можно разложить по четырем карманам так,
чтобы ни один карман не остался пустым, ровно пятью способами.
Atsakymų variantai rodomi tik registruotiems sistemos eTest.lt vartotojams. Mokytojo registracija, mokinio registracija
Taškų skaičius už teisingą atsakymą: 1
Klausimas #9
Верно ли утверждение?
Цифры числа 18587442 можно переставить так, что полученное число будет делиться на 9.
Atsakymų variantai rodomi tik registruotiems sistemos eTest.lt vartotojams. Mokytojo registracija, mokinio registracija
Taškų skaičius už teisingą atsakymą: 1
Klausimas #10
Верно ли утверждение?
Atsakymų variantai rodomi tik registruotiems sistemos eTest.lt vartotojams. Mokytojo registracija, mokinio registracija
Taškų skaičius už teisingą atsakymą: 1
Klausimas #11
Верно ли утверждение?
Если в четырехугольнике есть две пары равных сторон, то он –
параллелограмм.
Atsakymų variantai rodomi tik registruotiems sistemos eTest.lt vartotojams. Mokytojo registracija, mokinio registracija
Taškų skaičius už teisingą atsakymą: 1
Klausimas #12
Верно ли утверждение?
Если два угла – смежные, то их биссектрисы перпендикулярны.
Atsakymų variantai rodomi tik registruotiems sistemos eTest.lt vartotojams. Mokytojo registracija, mokinio registracija
Taškų skaičius už teisingą atsakymą: 1
Klausimas #13
Верно ли утверждение?
Существует треугольник периметра 10, одна из сторон которого равна 6.
Atsakymų variantai rodomi tik registruotiems sistemos eTest.lt vartotojams. Mokytojo registracija, mokinio registracija
Taškų skaičius už teisingą atsakymą: 1
Klausimas #14
Верно ли утверждение?
Если O – точка пересечения диагоналей трапеции ABCD с основанием AD, то площади треугольников AOB и COD равны.
Atsakymų variantai rodomi tik registruotiems sistemos eTest.lt vartotojams. Mokytojo registracija, mokinio registracija
Taškų skaičius už teisingą atsakymą: 1
Klausimas #15
Верно ли утверждение?
Если хорды AB и CD некоторой окружности пересекаются в точке M, то AM⋅MB = CM⋅MD.
Atsakymų variantai rodomi tik registruotiems sistemos eTest.lt vartotojams. Mokytojo registracija, mokinio registracija
Taškų skaičius už teisingą atsakymą: 1
Klausimas #16
В треугольнике ABC отрезок CH – высота, AB = 6, BC = 5, CH = 3.
Верно ли утверждение?
Atsakymų variantai rodomi tik registruotiems sistemos eTest.lt vartotojams. Mokytojo registracija, mokinio registracija
Taškų skaičius už teisingą atsakymą: 1
Klausimas #17
В треугольнике ABC отрезок CH – высота, AB = 6, BC = 5, CH = 3.
Верно ли утверждение?
Высота, опущенная из вершины A, больше 3,5.
Atsakymų variantai rodomi tik registruotiems sistemos eTest.lt vartotojams. Mokytojo registracija, mokinio registracija
Taškų skaičius už teisingą atsakymą: 1
Klausimas #18
В треугольнике ABC отрезок CH – высота, AB = 6, BC = 5, CH = 3.
Верно ли утверждение?
AC = 13
Atsakymų variantai rodomi tik registruotiems sistemos eTest.lt vartotojams. Mokytojo registracija, mokinio registracija
Taškų skaičius už teisingą atsakymą: 1
Klausimas #19
В треугольнике ABC отрезок CH – высота, AB = 6, BC = 5, CH = 3.
Верно ли утверждение?
Угол C – тупой.
Atsakymų variantai rodomi tik registruotiems sistemos eTest.lt vartotojams. Mokytojo registracija, mokinio registracija
Taškų skaičius už teisingą atsakymą: 1
Klausimas #20
В треугольнике ABC отрезок CH – высота, AB = 6, BC = 5, CH = 3.
Верно ли утверждение?
%2020.jpg)
Atsakymų variantai rodomi tik registruotiems sistemos eTest.lt vartotojams. Mokytojo registracija, mokinio registracija
Taškų skaičius už teisingą atsakymą: 1
Klausimas #21
Верно ли утверждение о последовательности, заданной формулой
an = 2n, n = 1, 2, …?
Atsakymų variantai rodomi tik registruotiems sistemos eTest.lt vartotojams. Mokytojo registracija, mokinio registracija
Taškų skaičius už teisingą atsakymą: 1
Klausimas #22
Верно ли утверждение о последовательности, заданной формулой
an = 2n, n = 1, 2, …?
Число 128 нельзя представить как произведение трех различных
членов последовательности an.
Atsakymų variantai rodomi tik registruotiems sistemos eTest.lt vartotojams. Mokytojo registracija, mokinio registracija
Taškų skaičius už teisingą atsakymą: 1
Klausimas #23
Верно ли утверждение о последовательности, заданной формулой
an = 2n, n = 1, 2, …?
a1 · a2 · … · a100 = 25050
Atsakymų variantai rodomi tik registruotiems sistemos eTest.lt vartotojams. Mokytojo registracija, mokinio registracija
Taškų skaičius už teisingą atsakymą: 1
Klausimas #24
Верно ли утверждение о последовательности, заданной формулой
an = 2n, n = 1, 2, …?
Atsakymų variantai rodomi tik registruotiems sistemos eTest.lt vartotojams. Mokytojo registracija, mokinio registracija
Taškų skaičius už teisingą atsakymą: 1
Klausimas #25
Верно ли утверждение о последовательности, заданной формулой
an = 2n, n = 1, 2, …?
При всех n справедливо равенство an+2 = 5an+1 – 6an
Atsakymų variantai rodomi tik registruotiems sistemos eTest.lt vartotojams. Mokytojo registracija, mokinio registracija
Taškų skaičius už teisingą atsakymą: 1
Klausimas #26
Верно ли, что при некотором a данное уравнение имеет единственный корень?
ax + 5 = 0
Atsakymų variantai rodomi tik registruotiems sistemos eTest.lt vartotojams. Mokytojo registracija, mokinio registracija
Taškų skaičius už teisingą atsakymą: 1
Klausimas #27
Верно ли, что при некотором a данное уравнение имеет единственный корень?
|2x – 3| = a
Atsakymų variantai rodomi tik registruotiems sistemos eTest.lt vartotojams. Mokytojo registracija, mokinio registracija
Taškų skaičius už teisingą atsakymą: 1
Klausimas #28
Верно ли, что при некотором a данное уравнение имеет единственный корень?
asinx = 1
Atsakymų variantai rodomi tik registruotiems sistemos eTest.lt vartotojams. Mokytojo registracija, mokinio registracija
Taškų skaičius už teisingą atsakymą: 1
Klausimas #29
Верно ли, что при некотором a данное уравнение имеет единственный корень?
lg x2 = a
Atsakymų variantai rodomi tik registruotiems sistemos eTest.lt vartotojams. Mokytojo registracija, mokinio registracija
Taškų skaičius už teisingą atsakymą: 1
Klausimas #30
Верно ли, что при некотором a данное уравнение имеет единственный корень?
Atsakymų variantai rodomi tik registruotiems sistemos eTest.lt vartotojams. Mokytojo registracija, mokinio registracija
Taškų skaičius už teisingą atsakymą: 1
Klausimas #31
Верно ли, что все корни данного уравнения содержатся среди чисел –2, –1, 0, 1?
5 – 2x = 4x + 1
Atsakymų variantai rodomi tik registruotiems sistemos eTest.lt vartotojams. Mokytojo registracija, mokinio registracija
Taškų skaičius už teisingą atsakymą: 1
Klausimas #32
Верно ли, что все корни данного уравнения содержатся среди чисел –2, –1, 0, 1?
Atsakymų variantai rodomi tik registruotiems sistemos eTest.lt vartotojams. Mokytojo registracija, mokinio registracija
Taškų skaičius už teisingą atsakymą: 1
Klausimas #33
Верно ли, что все корни данного уравнения содержатся среди чисел –2, –1, 0, 1?
x3 – 2x2 – x + 2 = 0
Atsakymų variantai rodomi tik registruotiems sistemos eTest.lt vartotojams. Mokytojo registracija, mokinio registracija
Taškų skaičius už teisingą atsakymą: 1
Klausimas #34
Верно ли, что все корни данного уравнения содержатся среди чисел –2, –1, 0, 1?
cos2πx = 2 – 2x + x2
Atsakymų variantai rodomi tik registruotiems sistemos eTest.lt vartotojams. Mokytojo registracija, mokinio registracija
Taškų skaičius už teisingą atsakymą: 1
Klausimas #35
Верно ли, что все корни данного уравнения содержатся среди чисел –2, –1, 0, 1?
Atsakymų variantai rodomi tik registruotiems sistemos eTest.lt vartotojams. Mokytojo registracija, mokinio registracija
Taškų skaičius už teisingą atsakymą: 1
Klausimas #36
Верно ли утверждение?
Если c < 0, то уравнение x2 + 3x + c = 0 имеет два действительных корня разных знаков.
Atsakymų variantai rodomi tik registruotiems sistemos eTest.lt vartotojams. Mokytojo registracija, mokinio registracija
Taškų skaičius už teisingą atsakymą: 1
Klausimas #37
Верно ли утверждение?
При некотором c вершина параболы y = x2 + 3x + c лежит в четвертой четверти.
Atsakymų variantai rodomi tik registruotiems sistemos eTest.lt vartotojams. Mokytojo registracija, mokinio registracija
Taškų skaičius už teisingą atsakymą: 1
Klausimas #38
Верно ли утверждение?
При некотором c неравенство x2 + 3x + c < 0 верно при всех x.
Atsakymų variantai rodomi tik registruotiems sistemos eTest.lt vartotojams. Mokytojo registracija, mokinio registracija
Taškų skaičius už teisingą atsakymą: 1
Klausimas #39
Верно ли утверждение?
При любом c параболы y = x2 + 3x + c и y = x2 – 3x + c симметричны друг другу относительно оси ординат.
Atsakymų variantai rodomi tik registruotiems sistemos eTest.lt vartotojams. Mokytojo registracija, mokinio registracija
Taškų skaičius už teisingą atsakymą: 1
Klausimas #40
Верно ли утверждение?
Если 1 + b + c < 0, то уравнение x2 + bx + c = 0 имеет два действительных корня.
Atsakymų variantai rodomi tik registruotiems sistemos eTest.lt vartotojams. Mokytojo registracija, mokinio registracija
Taškų skaičius už teisingą atsakymą: 1
Klausimas #41
Верно ли утверждение о функции f(x) = x + sinx?
Функция f(x) – четная.
Atsakymų variantai rodomi tik registruotiems sistemos eTest.lt vartotojams. Mokytojo registracija, mokinio registracija
Taškų skaičius už teisingą atsakymą: 1
Klausimas #42
Верно ли утверждение о функции f(x) = x + sinx?
Функция f(x) – возрастающая.
Atsakymų variantai rodomi tik registruotiems sistemos eTest.lt vartotojams. Mokytojo registracija, mokinio registracija
Taškų skaičius už teisingą atsakymą: 1
Klausimas #43
Верно ли утверждение о функции f(x) = x + sinx?
График этой функции лежит в полосе
Atsakymų variantai rodomi tik registruotiems sistemos eTest.lt vartotojams. Mokytojo registracija, mokinio registracija
Taškų skaičius už teisingą atsakymą: 1
Klausimas #44
Верно ли утверждение о функции f(x) = x + sinx?
Область значений функции f(x) есть множество всех действительных чисел.
Atsakymų variantai rodomi tik registruotiems sistemos eTest.lt vartotojams. Mokytojo registracija, mokinio registracija
Taškų skaičius už teisingą atsakymą: 1
Klausimas #45
Верно ли утверждение о функции f(x) = x + sinx?
Уравнение f(x) = 0,9x имеет бесконечно много решений.
Atsakymų variantai rodomi tik registruotiems sistemos eTest.lt vartotojams. Mokytojo registracija, mokinio registracija
Taškų skaičius už teisingą atsakymą: 1
Klausimas #46
Верно ли, что данная функция определена во всех точках отрезка [2; 6]
Atsakymų variantai rodomi tik registruotiems sistemos eTest.lt vartotojams. Mokytojo registracija, mokinio registracija
Taškų skaičius už teisingą atsakymą: 1
Klausimas #47
Верно ли, что данная функция определена во всех точках отрезка [2; 6] ?
Atsakymų variantai rodomi tik registruotiems sistemos eTest.lt vartotojams. Mokytojo registracija, mokinio registracija
Taškų skaičius už teisingą atsakymą: 1
Klausimas #48
Верно ли, что данная функция определена во всех точках отрезка [2; 6] ?
y = lg(28 - 3x/2)
Atsakymų variantai rodomi tik registruotiems sistemos eTest.lt vartotojams. Mokytojo registracija, mokinio registracija
Taškų skaičius už teisingą atsakymą: 1
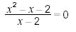
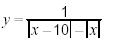
Klausimas #49
Верно ли, что данная функция определена во всех точках отрезка [ 2; 6 ]?
%2049.jpg)
Atsakymų variantai rodomi tik registruotiems sistemos eTest.lt vartotojams. Mokytojo registracija, mokinio registracija
Taškų skaičius už teisingą atsakymą: 1
Klausimas #50
Верно ли, что данная функция определена во всех точках отрезка [2; 6 ] ?
%20%2051.jpg)
Atsakymų variantai rodomi tik registruotiems sistemos eTest.lt vartotojams. Mokytojo registracija, mokinio registracija
Taškų skaičius už teisingą atsakymą: 1
Klausimas #51
Верно ли утверждение?
Число lg100π – целое.
Atsakymų variantai rodomi tik registruotiems sistemos eTest.lt vartotojams. Mokytojo registracija, mokinio registracija
Taškų skaičius už teisingą atsakymą: 1
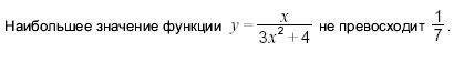
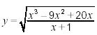
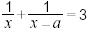
Klausimas #52
Верно ли утверждение?
%20%2052.jpg)
Atsakymų variantai rodomi tik registruotiems sistemos eTest.lt vartotojams. Mokytojo registracija, mokinio registracija
Taškų skaičius už teisingą atsakymą: 1
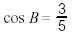
Klausimas #53
Верно ли утверждение?
%20%2053.jpg)
Atsakymų variantai rodomi tik registruotiems sistemos eTest.lt vartotojams. Mokytojo registracija, mokinio registracija
Taškų skaičius už teisingą atsakymą: 1
Klausimas #54
Верно ли утверждение?
Если f ' (1) < 0, то функция f не может быть возрастающей на отрезке [0; 2] .
Atsakymų variantai rodomi tik registruotiems sistemos eTest.lt vartotojams. Mokytojo registracija, mokinio registracija
Taškų skaičius už teisingą atsakymą: 1
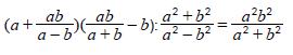
Klausimas #55
Верно ли утверждение?
%20%2055.jpg)
Atsakymų variantai rodomi tik registruotiems sistemos eTest.lt vartotojams. Mokytojo registracija, mokinio registracija
Taškų skaičius už teisingą atsakymą: 1
Klausimas #56
В правильной четырехугольной пирамиде PABCD с вершиной P каждое ребро равно 2. Верно ли утверждение?
Расстояние от вершины C до плоскости BPD больше 1.
Atsakymų variantai rodomi tik registruotiems sistemos eTest.lt vartotojams. Mokytojo registracija, mokinio registracija
Taškų skaičius už teisingą atsakymą: 1
Klausimas #57
В правильной четырехугольной пирамиде PABCD с вершиной P каждое ребро равно 2. Верно ли утверждение?
Число пар скрещивающихся ребер этой пирамиды равно 12.
Atsakymų variantai rodomi tik registruotiems sistemos eTest.lt vartotojams. Mokytojo registracija, mokinio registracija
Taškų skaičius už teisingą atsakymą: 1
Klausimas #58
В правильной четырехугольной пирамиде PABCD с вершиной P каждое ребро равно 2. Верно ли утверждение?
Расстояние от вершины A до прямой PC равно 2.
Atsakymų variantai rodomi tik registruotiems sistemos eTest.lt vartotojams. Mokytojo registracija, mokinio registracija
Taškų skaičius už teisingą atsakymą: 1
Klausimas #59
В правильной четырехугольной пирамиде PABCD с вершиной P каждое ребро равно 2. Верно ли утверждение?
Угол между боковым ребром и плоскостью основания больше угла между боковой гранью и плоскостью основания.
Atsakymų variantai rodomi tik registruotiems sistemos eTest.lt vartotojams. Mokytojo registracija, mokinio registracija
Taškų skaičius už teisingą atsakymą: 1
Klausimas #60
В правильной четырехугольной пирамиде PABCD с вершиной P каждое ребро равно 2. Верно ли утверждение?
Если E – точка на ребре PC и плоскость BDE делит объем пирамиды в отношении 1 : 5, то EP = 2⋅CE.
Atsakymų variantai rodomi tik registruotiems sistemos eTest.lt vartotojams. Mokytojo registracija, mokinio registracija
Taškų skaičius už teisingą atsakymą: 1





