Конкурс по математике КЕНГУРУ - 2007-5 уровень-Россия
Klausimas #1
Верно ли равенство?
Atsakymų variantai rodomi tik registruotiems sistemos eTest.lt vartotojams. Mokytojo registracija, mokinio registracija
Taškų skaičius už teisingą atsakymą: 1
Klausimas #2
Верно ли равенство?
Atsakymų variantai rodomi tik registruotiems sistemos eTest.lt vartotojams. Mokytojo registracija, mokinio registracija
Taškų skaičius už teisingą atsakymą: 1
Klausimas #3
Верно ли равенство?
Atsakymų variantai rodomi tik registruotiems sistemos eTest.lt vartotojams. Mokytojo registracija, mokinio registracija
Taškų skaičius už teisingą atsakymą: 1
Klausimas #4
Верно ли равенство?
Atsakymų variantai rodomi tik registruotiems sistemos eTest.lt vartotojams. Mokytojo registracija, mokinio registracija
Taškų skaičius už teisingą atsakymą: 1
Klausimas #5
Верно ли равенство?
Atsakymų variantai rodomi tik registruotiems sistemos eTest.lt vartotojams. Mokytojo registracija, mokinio registracija
Taškų skaičius už teisingą atsakymą: 1
Klausimas #6
Верно ли утверждение?
Среди чисел 21, 22, …, 40 ровно 20% простых.
Atsakymų variantai rodomi tik registruotiems sistemos eTest.lt vartotojams. Mokytojo registracija, mokinio registracija
Taškų skaičius už teisingą atsakymą: 1
Klausimas #7
Верно ли утверждение?
Произведение любых двух трехзначных чисел является либо пятизначным, либо шестизначным числом.
Atsakymų variantai rodomi tik registruotiems sistemos eTest.lt vartotojams. Mokytojo registracija, mokinio registracija
Taškų skaičius už teisingą atsakymą: 1
Klausimas #8
Верно ли утверждение?
Разность квадратов некоторых двух натуральных чисел равняется 14.
Atsakymų variantai rodomi tik registruotiems sistemos eTest.lt vartotojams. Mokytojo registracija, mokinio registracija
Taškų skaičius už teisingą atsakymą: 1
Klausimas #9
Верно ли утверждение?
Если с приходом в класс нового ученика средний рост учеников класса увеличился, то новичок – самый высокий в классе.
.
Atsakymų variantai rodomi tik registruotiems sistemos eTest.lt vartotojams. Mokytojo registracija, mokinio registracija
Taškų skaičius už teisingą atsakymą: 1
Klausimas #10
Верно ли утверждение?
Если каждое слово языка племени Ыу начинается на ыу, оканчивается на оя и состоит из девяти букв а, е, и, о, у, ы, э, ю, я, по одному разу каждая, то в языке этого племени меньше 500 слов.
Atsakymų variantai rodomi tik registruotiems sistemos eTest.lt vartotojams. Mokytojo registracija, mokinio registracija
Taškų skaičius už teisingą atsakymą: 1
Klausimas #11
Верно ли, что равенство справедливо при всех допустимых значениях
переменных?
Atsakymų variantai rodomi tik registruotiems sistemos eTest.lt vartotojams. Mokytojo registracija, mokinio registracija
Taškų skaičius už teisingą atsakymą: 1
Klausimas #12
Верно ли, что равенство справедливо при всех допустимых значениях
переменных?
%2012.jpg)
Atsakymų variantai rodomi tik registruotiems sistemos eTest.lt vartotojams. Mokytojo registracija, mokinio registracija
Taškų skaičius už teisingą atsakymą: 1
Klausimas #13
Верно ли, что равенство справедливо при всех допустимых значениях
переменных?
Atsakymų variantai rodomi tik registruotiems sistemos eTest.lt vartotojams. Mokytojo registracija, mokinio registracija
Taškų skaičius už teisingą atsakymą: 1
Klausimas #14
Верно ли, что равенство справедливо при всех допустимых значениях
переменных?
Atsakymų variantai rodomi tik registruotiems sistemos eTest.lt vartotojams. Mokytojo registracija, mokinio registracija
Taškų skaičius už teisingą atsakymą: 1
Klausimas #15
Верно ли, что равенство справедливо при всех допустимых значениях
переменных?
Atsakymų variantai rodomi tik registruotiems sistemos eTest.lt vartotojams. Mokytojo registracija, mokinio registracija
Taškų skaičius už teisingą atsakymą: 1
Klausimas #16
Верно ли утверждение?
Для любых трех точек А, В, С справедливо векторное равенство

Atsakymų variantai rodomi tik registruotiems sistemos eTest.lt vartotojams. Mokytojo registracija, mokinio registracija
Taškų skaičius už teisingą atsakymą: 1
Klausimas #17
Верно ли утверждение?
Площади правильного треугольника и правильного шестиугольника,
вписанных в одну и ту же окружность, относятся как 2:3.
Atsakymų variantai rodomi tik registruotiems sistemos eTest.lt vartotojams. Mokytojo registracija, mokinio registracija
Taškų skaičius už teisingą atsakymą: 1
Klausimas #18
Верно ли утверждение?
Если два угла четырехугольника равны по 100°, а остальные углы
равны 75° и 85°, то вокруг этого четырехугольника можно описать
окружность.
Atsakymų variantai rodomi tik registruotiems sistemos eTest.lt vartotojams. Mokytojo registracija, mokinio registracija
Taškų skaičius už teisingą atsakymą: 1
Klausimas #19
Верно ли утверждение?
Треугольник на координатной плоскости с вершинами А(0, 2), В(11, 0)
и С(2, 5) – прямоугольный.
Atsakymų variantai rodomi tik registruotiems sistemos eTest.lt vartotojams. Mokytojo registracija, mokinio registracija
Taškų skaičius už teisingą atsakymą: 1
Klausimas #20
Верно ли утверждение?
Если треугольник АВС – равнобедренный, его основание АВ равно 1, и АD – его медиана, то АD >
Atsakymų variantai rodomi tik registruotiems sistemos eTest.lt vartotojams. Mokytojo registracija, mokinio registracija
Taškų skaičius už teisingą atsakymą: 1
Klausimas #21
Верно ли, что число А положительно?
Atsakymų variantai rodomi tik registruotiems sistemos eTest.lt vartotojams. Mokytojo registracija, mokinio registracija
Taškų skaičius už teisingą atsakymą: 1
Klausimas #22
Верно ли, что число А положительно?
Atsakymų variantai rodomi tik registruotiems sistemos eTest.lt vartotojams. Mokytojo registracija, mokinio registracija
Taškų skaičius už teisingą atsakymą: 1
Klausimas #23
Верно ли, что число А положительно?
Atsakymų variantai rodomi tik registruotiems sistemos eTest.lt vartotojams. Mokytojo registracija, mokinio registracija
Taškų skaičius už teisingą atsakymą: 1
Klausimas #24
Верно ли, что число А положительно?
Atsakymų variantai rodomi tik registruotiems sistemos eTest.lt vartotojams. Mokytojo registracija, mokinio registracija
Taškų skaičius už teisingą atsakymą: 1
Klausimas #25
Верно ли, что число А положительно?
Atsakymų variantai rodomi tik registruotiems sistemos eTest.lt vartotojams. Mokytojo registracija, mokinio registracija
Taškų skaičius už teisingą atsakymą: 1
Klausimas #26
В равнобедренном треугольнике АВС с углом ∠В = 30° при вершине и боковой стороной 2 проведены высоты AN и ВР. Точка К – середина стороны АB. Верно ли утверждение?
%2026-30.jpg)
Площадь треугольника APK равна
Atsakymų variantai rodomi tik registruotiems sistemos eTest.lt vartotojams. Mokytojo registracija, mokinio registracija
Taškų skaičius už teisingą atsakymą: 1
Klausimas #27
В равнобедренном треугольнике АВС с углом ∠В = 30° при вершине и боковой стороной 2 проведены высоты AN и ВР. Точка К – середина стороны АB. Верно ли утверждение?
%2026-30.jpg)
∠NAP = 15°
Atsakymų variantai rodomi tik registruotiems sistemos eTest.lt vartotojams. Mokytojo registracija, mokinio registracija
Taškų skaičius už teisingą atsakymą: 1
Klausimas #28

В равнобедренном треугольнике АВС с углом ∠В = 30° при вершине и боковой стороной 2 проведены высоты AN и ВР. Точка К – середина стороны АB. Верно ли утверждение?%2026-30.jpg)
Окружность, описанная вокруг треугольника АВN, проходит через точку Р.
Atsakymų variantai rodomi tik registruotiems sistemos eTest.lt vartotojams. Mokytojo registracija, mokinio registracija
Taškų skaičius už teisingą atsakymą: 1
Klausimas #29
В равнобедренном треугольнике АВС с углом ∠В = 30° при вершине и боковой стороной 2 проведены высоты AN и ВР. Точка К – середина стороны АB. Верно ли утверждение?
%2026-30.jpg)
Atsakymų variantai rodomi tik registruotiems sistemos eTest.lt vartotojams. Mokytojo registracija, mokinio registracija
Taškų skaičius už teisingą atsakymą: 1
Klausimas #30




В равнобедренном треугольнике АВС с углом ∠В = 30° при вершине и боковой стороной 2 проведены высоты AN и ВР. Точка К – середина стороны АB. Верно ли утверждение?%2026-30.jpg)
Треугольники NPК и PNC подобны друг другу
Atsakymų variantai rodomi tik registruotiems sistemos eTest.lt vartotojams. Mokytojo registracija, mokinio registracija
Taškų skaičius už teisingą atsakymą: 1
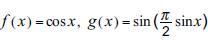
Klausimas #31
Верно ли, что функции f и g имеют одинаковые множества значений?
f(x) = tgx, g(x) = lgx
Atsakymų variantai rodomi tik registruotiems sistemos eTest.lt vartotojams. Mokytojo registracija, mokinio registracija
Taškų skaičius už teisingą atsakymą: 1
Klausimas #32
Верно ли, что функции f и g имеют одинаковые множества значений?
Atsakymų variantai rodomi tik registruotiems sistemos eTest.lt vartotojams. Mokytojo registracija, mokinio registracija
Taškų skaičius už teisingą atsakymą: 1
Klausimas #33
Верно ли, что функции f и g имеют одинаковые множества значений?
Atsakymų variantai rodomi tik registruotiems sistemos eTest.lt vartotojams. Mokytojo registracija, mokinio registracija
Taškų skaičius už teisingą atsakymą: 1
Klausimas #34
Верно ли, что функции f и g имеют одинаковые множества значений?
Atsakymų variantai rodomi tik registruotiems sistemos eTest.lt vartotojams. Mokytojo registracija, mokinio registracija
Taškų skaičius už teisingą atsakymą: 1
Klausimas #35
Верно ли, что функции f и g имеют одинаковые множества значений?
Atsakymų variantai rodomi tik registruotiems sistemos eTest.lt vartotojams. Mokytojo registracija, mokinio registracija
Taškų skaičius už teisingą atsakymą: 1
Klausimas #36
Верны ли следующие утверждения про функцию
График f (x) симметричен относительно оси Оу.
Atsakymų variantai rodomi tik registruotiems sistemos eTest.lt vartotojams. Mokytojo registracija, mokinio registracija
Taškų skaičius už teisingą atsakymą: 1
Klausimas #37
Верны ли следующие утверждения про функцию
Касательная к графику функции f (x) в точке с абсциссой 2 парал-
лельна прямой 3х + 25у = 0 .
Atsakymų variantai rodomi tik registruotiems sistemos eTest.lt vartotojams. Mokytojo registracija, mokinio registracija
Taškų skaičius už teisingą atsakymą: 1
Klausimas #38
Верны ли следующие утверждения про функцию
Наибольшее значение функции f (x) равно
Atsakymų variantai rodomi tik registruotiems sistemos eTest.lt vartotojams. Mokytojo registracija, mokinio registracija
Taškų skaičius už teisingą atsakymą: 1
Klausimas #39
Верны ли следующие утверждения про функцию
Atsakymų variantai rodomi tik registruotiems sistemos eTest.lt vartotojams. Mokytojo registracija, mokinio registracija
Taškų skaičius už teisingą atsakymą: 1
Klausimas #40
Верны ли следующие утверждения про функцию
Если параметр а увеличивается от 0 до 1, то прямая у = 2 f(a) x пово-
рачивается вокруг начала координат на 45° против часовой стрелки.
Atsakymų variantai rodomi tik registruotiems sistemos eTest.lt vartotojams. Mokytojo registracija, mokinio registracija
Taškų skaičius už teisingą atsakymą: 1
Klausimas #41
Верно ли, что при некотором значении параметра а данное неравенство справедливо при всех допустимых значениях х?
Atsakymų variantai rodomi tik registruotiems sistemos eTest.lt vartotojams. Mokytojo registracija, mokinio registracija
Taškų skaičius už teisingą atsakymą: 1
Klausimas #42
Верно ли, что при некотором значении параметра а данное неравенство
справедливо при всех допустимых значениях х?
Atsakymų variantai rodomi tik registruotiems sistemos eTest.lt vartotojams. Mokytojo registracija, mokinio registracija
Taškų skaičius už teisingą atsakymą: 1
Klausimas #43
Верно ли, что при некотором значении параметра а данное неравенство справедливо при всех допустимых значениях х?
Atsakymų variantai rodomi tik registruotiems sistemos eTest.lt vartotojams. Mokytojo registracija, mokinio registracija
Taškų skaičius už teisingą atsakymą: 1
Klausimas #44
Верно ли, что при некотором значении параметра а данное неравенство справедливо при всех допустимых значениях х?
Atsakymų variantai rodomi tik registruotiems sistemos eTest.lt vartotojams. Mokytojo registracija, mokinio registracija
Taškų skaičius už teisingą atsakymą: 1
Klausimas #45
Верно ли, что при некотором значении параметра а данное неравенство справедливо при всех допустимых значениях х?
Atsakymų variantai rodomi tik registruotiems sistemos eTest.lt vartotojams. Mokytojo registracija, mokinio registracija
Taškų skaičius už teisingą atsakymą: 1
Klausimas #46
Верно ли, что все корни данного уравнения лежат на отрезке [–2, 2]?
Atsakymų variantai rodomi tik registruotiems sistemos eTest.lt vartotojams. Mokytojo registracija, mokinio registracija
Taškų skaičius už teisingą atsakymą: 1
Klausimas #47
Верно ли, что все корни данного уравнения лежат на отрезке [–2, 2]?
Atsakymų variantai rodomi tik registruotiems sistemos eTest.lt vartotojams. Mokytojo registracija, mokinio registracija
Taškų skaičius už teisingą atsakymą: 1
Klausimas #48
Верно ли, что все корни данного уравнения лежат на отрезке [–2, 2]?
Atsakymų variantai rodomi tik registruotiems sistemos eTest.lt vartotojams. Mokytojo registracija, mokinio registracija
Taškų skaičius už teisingą atsakymą: 1
Klausimas #49
Верно ли, что все корни данного уравнения лежат на отрезке [–2, 2]?
Atsakymų variantai rodomi tik registruotiems sistemos eTest.lt vartotojams. Mokytojo registracija, mokinio registracija
Taškų skaičius už teisingą atsakymą: 1
Klausimas #50
Верно ли, что все корни данного уравнения лежат на отрезке [–2, 2]?
Atsakymų variantai rodomi tik registruotiems sistemos eTest.lt vartotojams. Mokytojo registracija, mokinio registracija
Taškų skaičius už teisingą atsakymą: 1
Klausimas #51
Верно ли утверждение?
Некоторая парабола вида
Atsakymų variantai rodomi tik registruotiems sistemos eTest.lt vartotojams. Mokytojo registracija, mokinio registracija
Taškų skaičius už teisingą atsakymą: 1
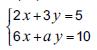
Klausimas #52
Верно ли утверждение?
При любом значении параметра а система уравнений
%2052.jpg)

имеет единственное решение.Atsakymų variantai rodomi tik registruotiems sistemos eTest.lt vartotojams. Mokytojo registracija, mokinio registracija
Taškų skaičius už teisingą atsakymą: 1
Klausimas #53
Верно ли утверждение?
Логарифмические функции с разными основаниями пропорциональны друг другу.
Atsakymų variantai rodomi tik registruotiems sistemos eTest.lt vartotojams. Mokytojo registracija, mokinio registracija
Taškų skaičius už teisingą atsakymą: 1
Klausimas #54
Верно ли утверждение?
Сумма коэффициентов многочлена
равна 1.Atsakymų variantai rodomi tik registruotiems sistemos eTest.lt vartotojams. Mokytojo registracija, mokinio registracija
Taškų skaičius už teisingą atsakymą: 1
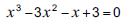
Klausimas #55
Верно ли утверждение?
Ни при каком значении а сумма корней уравнения
Atsakymų variantai rodomi tik registruotiems sistemos eTest.lt vartotojams. Mokytojo registracija, mokinio registracija
Taškų skaičius už teisingą atsakymą: 1
Klausimas #56
АВСА1В1С1 – прямая треугольная призма, все ребра которой равны 2, точка К – середина ребра В1С1, точка Е – середина ребра АА1.Пусть α – плоскость, проходящая через точки В, Е и С1.
%2056-60.jpg)
Верно ли утверждение?
Расстояние между прямыми ВВ1 и АС больше, чем 1,5.
Atsakymų variantai rodomi tik registruotiems sistemos eTest.lt vartotojams. Mokytojo registracija, mokinio registracija
Taškų skaičius už teisingą atsakymą: 1
Klausimas #57
АВСА1В1С1 – прямая треугольная призма, все ребра которой равны 2, точка К – середина ребра В1С1, точка Е – середина ребра АА1.Пусть α – плоскость, проходящая через точки В, Е и С1.
%2056-60.jpg)
Верно ли утверждение?
Если все ребра оснований этой призмы уменьшить в два раза, а боковые ребра увеличить в 3 раза, то объем призмы увеличится.
Atsakymų variantai rodomi tik registruotiems sistemos eTest.lt vartotojams. Mokytojo registracija, mokinio registracija
Taškų skaičius už teisingą atsakymą: 1
Klausimas #58
АВСА1В1С1 – прямая треугольная призма, все ребра которой равны 2, точка К – середина ребра В1С1, точка Е – середина ребра АА1.Пусть α – плоскость, проходящая через точки В, Е и С1.
%2056-60.jpg)
Верно ли утверждение?
Плоскость α перпендикулярна плоскости
грани ВСС1В1.
Плоскость α перпендикулярна плоскости грани
Atsakymų variantai rodomi tik registruotiems sistemos eTest.lt vartotojams. Mokytojo registracija, mokinio registracija
Taškų skaičius už teisingą atsakymą: 1
Klausimas #59
АВСА1В1С1 – прямая треугольная призма, все ребра которой равны 2, точка К – середина ребра В1С1, точка Е – середина ребра АА1.Пусть α – плоскость, проходящая через точки В, Е и С1.
%2056-60.jpg)
Верно ли утверждение?
Плоскость α делит объем призмы в отношении 3 : 4.
Atsakymų variantai rodomi tik registruotiems sistemos eTest.lt vartotojams. Mokytojo registracija, mokinio registracija
Taškų skaičius už teisingą atsakymą: 1
Klausimas #60
АВСА1В1С1 – прямая треугольная призма, все ребра которой равны 2, точка К – середина ребра В1С1, точка Е – середина ребра АА1.Пусть α – плоскость, проходящая через точки В, Е и С1.
%2056-60.jpg)
Верно ли утверждение?
Линия пересечения плоскости α с плоскостью АВС параллельна прямой
Atsakymų variantai rodomi tik registruotiems sistemos eTest.lt vartotojams. Mokytojo registracija, mokinio registracija
Taškų skaičius už teisingą atsakymą: 1





