Конкурс по математике КЕНГУРУ - 2008-5 уровень-Россия
Klausimas #1
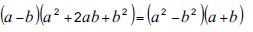
Верно ли равенство?
Atsakymų variantai rodomi tik registruotiems sistemos eTest.lt vartotojams. Mokytojo registracija, mokinio registracija
Taškų skaičius už teisingą atsakymą: 1
Klausimas #2
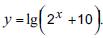
Верно ли равенство?
Atsakymų variantai rodomi tik registruotiems sistemos eTest.lt vartotojams. Mokytojo registracija, mokinio registracija
Taškų skaičius už teisingą atsakymą: 1
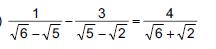
Klausimas #3
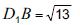
Верно ли равенство?
Atsakymų variantai rodomi tik registruotiems sistemos eTest.lt vartotojams. Mokytojo registracija, mokinio registracija
Taškų skaičius už teisingą atsakymą: 1
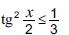
Klausimas #4
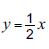
Верно ли равенство?
Atsakymų variantai rodomi tik registruotiems sistemos eTest.lt vartotojams. Mokytojo registracija, mokinio registracija
Taškų skaičius už teisingą atsakymą: 1
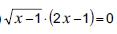
Klausimas #5
Верно ли равенство?
Atsakymų variantai rodomi tik registruotiems sistemos eTest.lt vartotojams. Mokytojo registracija, mokinio registracija
Taškų skaičius už teisingą atsakymą: 1
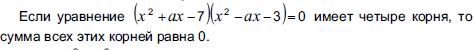
Klausimas #6
Верно ли утверждение?
Atsakymų variantai rodomi tik registruotiems sistemos eTest.lt vartotojams. Mokytojo registracija, mokinio registracija
Taškų skaičius už teisingą atsakymą: 1
Klausimas #7
Верно ли утверждение?
Число является
Atsakymų variantai rodomi tik registruotiems sistemos eTest.lt vartotojams. Mokytojo registracija, mokinio registracija
Taškų skaičius už teisingą atsakymą: 1
Klausimas #8
Верно ли утверждение?
Atsakymų variantai rodomi tik registruotiems sistemos eTest.lt vartotojams. Mokytojo registracija, mokinio registracija
Taškų skaičius už teisingą atsakymą: 1
Klausimas #9
Верно ли утверждение?
%209.jpg)
Atsakymų variantai rodomi tik registruotiems sistemos eTest.lt vartotojams. Mokytojo registracija, mokinio registracija
Taškų skaičius už teisingą atsakymą: 1
Klausimas #10
Верно ли утверждение?
Atsakymų variantai rodomi tik registruotiems sistemos eTest.lt vartotojams. Mokytojo registracija, mokinio registracija
Taškų skaičius už teisingą atsakymą: 1
Klausimas #11
Верно ли утверждение?
Угол между прямой
Atsakymų variantai rodomi tik registruotiems sistemos eTest.lt vartotojams. Mokytojo registracija, mokinio registracija
Taškų skaičius už teisingą atsakymą: 1
Klausimas #12
Верно ли утверждение?
Круги с центрами в точках А(0; 0) и В(10; 5) и радиусами 3 и 8 пересекаются.
Atsakymų variantai rodomi tik registruotiems sistemos eTest.lt vartotojams. Mokytojo registracija, mokinio registracija
Taškų skaičius už teisingą atsakymą: 1
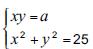
Klausimas #13
Верно ли утверждение?
При некотором а система уравнений
Atsakymų variantai rodomi tik registruotiems sistemos eTest.lt vartotojams. Mokytojo registracija, mokinio registracija
Taškų skaičius už teisingą atsakymą: 1
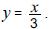
Klausimas #14
Верно ли утверждение?
Если прямые y = kx +1 и y = x пересекаются, то и прямые y = kx + 3 и y = x −1 тоже пересекаются.
Atsakymų variantai rodomi tik registruotiems sistemos eTest.lt vartotojams. Mokytojo registracija, mokinio registracija
Taškų skaičius už teisingą atsakymą: 1
Klausimas #15
Верно ли утверждение?
Множество точек координатной плоскости, координаты которых удовлетворяют неравенствам 2 |x| ≤ y ≤ 5 − 2 |x| , является параллелограммом.
Atsakymų variantai rodomi tik registruotiems sistemos eTest.lt vartotojams. Mokytojo registracija, mokinio registracija
Taškų skaičius už teisingą atsakymą: 1
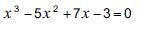
Klausimas #16
Верно ли, что все корни данного уравнения содержатся среди чисел –3, –2, –1, 0, 1?
x2= 2x+3
Atsakymų variantai rodomi tik registruotiems sistemos eTest.lt vartotojams. Mokytojo registracija, mokinio registracija
Taškų skaičius už teisingą atsakymą: 1
Klausimas #17
Верно ли, что все корни данного уравнения содержатся среди чисел –3, –2, –1, 0, 1?
Atsakymų variantai rodomi tik registruotiems sistemos eTest.lt vartotojams. Mokytojo registracija, mokinio registracija
Taškų skaičius už teisingą atsakymą: 1
Klausimas #18
Верно ли, что все корни данного уравнения содержатся среди чисел –3, –2, –1, 0, 1?
22x + 2x+3 = 20
Atsakymų variantai rodomi tik registruotiems sistemos eTest.lt vartotojams. Mokytojo registracija, mokinio registracija
Taškų skaičius už teisingą atsakymą: 1
Klausimas #19
Верно ли, что все корни данного уравнения содержатся среди чисел –3, –2, –1, 0, 1?
Atsakymų variantai rodomi tik registruotiems sistemos eTest.lt vartotojams. Mokytojo registracija, mokinio registracija
Taškų skaičius už teisingą atsakymą: 1
Klausimas #20
Верно ли, что все корни данного уравнения содержатся среди чисел –3, –2, –1, 0, 1?
|x + 2| + |x| = 2
Atsakymų variantai rodomi tik registruotiems sistemos eTest.lt vartotojams. Mokytojo registracija, mokinio registracija
Taškų skaičius už teisingą atsakymą: 1
Klausimas #21
Верно ли утверждение?
Если суммы противоположных сторон четырехугольника равны между собой, то в этот четырехугольник можно вписать окружность.
Atsakymų variantai rodomi tik registruotiems sistemos eTest.lt vartotojams. Mokytojo registracija, mokinio registracija
Taškų skaičius už teisingą atsakymą: 1
Klausimas #22
Верно ли утверждение?
Теорема Пифагора является частным случаем теоремы косинусов.
Atsakymų variantai rodomi tik registruotiems sistemos eTest.lt vartotojams. Mokytojo registracija, mokinio registracija
Taškų skaičius už teisingą atsakymą: 1
Klausimas #23
Верно ли утверждение?
Диагональ многоугольника может быть больше, чем его полупериметр.
Atsakymų variantai rodomi tik registruotiems sistemos eTest.lt vartotojams. Mokytojo registracija, mokinio registracija
Taškų skaičius už teisingą atsakymą: 1
Klausimas #24
Верно ли утверждение?
Среднее арифметическое углов выпуклого n-угольника возрастает с ростом n.
Atsakymų variantai rodomi tik registruotiems sistemos eTest.lt vartotojams. Mokytojo registracija, mokinio registracija
Taškų skaičius už teisingą atsakymą: 1
Klausimas #25
Верно ли утверждение?
Сумма расстояний от точки внутри правильного тетраэдра до всех его граней не зависит от выбора этой точки.
Atsakymų variantai rodomi tik registruotiems sistemos eTest.lt vartotojams. Mokytojo registracija, mokinio registracija
Taškų skaičius už teisingą atsakymą: 1
Klausimas #26
В окружность диаметра 1 вписан четырехугольник ABCD, причем точки A и D диаметрально противоположны. Угол BAD равен α, угол ADC равен β, угол BAC равен γ.
%20VI.jpg)
Верно ли утверждение?
∠АBD = 90°
Atsakymų variantai rodomi tik registruotiems sistemos eTest.lt vartotojams. Mokytojo registracija, mokinio registracija
Taškų skaičius už teisingą atsakymą: 1
Klausimas #27
В окружность диаметра 1 вписан четырехугольник ABCD, причем точки A и D диаметрально противоположны. Угол BAD равен α, угол ADC равен β, угол BAC равен γ.
%20VI.jpg)
Верно ли утверждение?
Треугольники АBР и СРD подобны.
Atsakymų variantai rodomi tik registruotiems sistemos eTest.lt vartotojams. Mokytojo registracija, mokinio registracija
Taškų skaičius už teisingą atsakymą: 1
Klausimas #28
В окружность диаметра 1 вписан четырехугольник ABCD, причем точки A и D диаметрально противоположны. Угол BAD равен α, угол ADC равен β, угол BAC равен γ.
%20VI.jpg)
Верно ли утверждение?
CD = sinβ
Atsakymų variantai rodomi tik registruotiems sistemos eTest.lt vartotojams. Mokytojo registracija, mokinio registracija
Taškų skaičius už teisingą atsakymą: 1
Klausimas #29
В окружность диаметра 1 вписан четырехугольник ABCD, причем точки A и D диаметрально противоположны. Угол BAD равен α, угол ADC равен β, угол BAC равен γ.
%20VI.jpg)
Верно ли утверждение?
sinγ = cos (α +β )
Atsakymų variantai rodomi tik registruotiems sistemos eTest.lt vartotojams. Mokytojo registracija, mokinio registracija
Taškų skaičius už teisingą atsakymą: 1
Klausimas #30
В окружность диаметра 1 вписан четырехугольник ABCD, причем точки A и D диаметрально противоположны. Угол BAD равен α, угол ADC равен β, угол BAC равен γ.
%20VI.jpg)
Верно ли утверждение?
BC = sinγ
Atsakymų variantai rodomi tik registruotiems sistemos eTest.lt vartotojams. Mokytojo registracija, mokinio registracija
Taškų skaičius už teisingą atsakymą: 1
Klausimas #31
Дана функция
Функция определена при всех действительных x.
Atsakymų variantai rodomi tik registruotiems sistemos eTest.lt vartotojams. Mokytojo registracija, mokinio registracija
Taškų skaičius už teisingą atsakymą: 1
Klausimas #32
Дана функция
y(10) ≤ 3
Atsakymų variantai rodomi tik registruotiems sistemos eTest.lt vartotojams. Mokytojo registracija, mokinio registracija
Taškų skaičius už teisingą atsakymą: 1
Klausimas #33
Дана функция
Область значений функции – интервал (1; +∞).
Atsakymų variantai rodomi tik registruotiems sistemos eTest.lt vartotojams. Mokytojo registracija, mokinio registracija
Taškų skaičius už teisingą atsakymą: 1
Klausimas #34
Дана функция
Весь график функции расположен выше прямой
Atsakymų variantai rodomi tik registruotiems sistemos eTest.lt vartotojams. Mokytojo registracija, mokinio registracija
Taškų skaičius už teisingą atsakymą: 1
Klausimas #35
Дана функция
Значение y не может быть целым числом ни при каком целом x.
Atsakymų variantai rodomi tik registruotiems sistemos eTest.lt vartotojams. Mokytojo registracija, mokinio registracija
Taškų skaičius už teisingą atsakymą: 1
Klausimas #36
Функции f(x) и g(x) заданы на отрезке [0; 4] своими графиками (части графиков, отвечающие промежуткам [0; 1] и [3; 4], составлены из отрезков прямых).
%20VIII.jpg)
Верно ли утверждение?
Множество значений функции f (x) – это отрезок [–2; 3].
Atsakymų variantai rodomi tik registruotiems sistemos eTest.lt vartotojams. Mokytojo registracija, mokinio registracija
Taškų skaičius už teisingą atsakymą: 1
Klausimas #37
Функции f(x) и g(x) заданы на отрезке [0; 4] своими графиками (части графиков, отвечающие промежуткам [0; 1] и [3; 4], составлены из отрезков прямых).
%20VIII.jpg)
Верно ли утверждение?
Множество решений неравенства f (x)≤ 1состоит из трех отрезков.
Atsakymų variantai rodomi tik registruotiems sistemos eTest.lt vartotojams. Mokytojo registracija, mokinio registracija
Taškų skaičius už teisingą atsakymą: 1
Klausimas #38
Функции f(x) и g(x) заданы на отрезке [0; 4] своими графиками (части графиков, отвечающие промежуткам [0; 1] и [3; 4], составлены из отрезков прямых).
%20VIII.jpg)
Верно ли утверждение?
f(x) + g(x) ≤ 0 при всех х∈[0; 1].
Atsakymų variantai rodomi tik registruotiems sistemos eTest.lt vartotojams. Mokytojo registracija, mokinio registracija
Taškų skaičius už teisingą atsakymą: 1
Klausimas #39
Функции f(x) и g(x) заданы на отрезке [0; 4] своими графиками (части графиков, отвечающие промежуткам [0; 1] и [3; 4], составлены из отрезков прямых).
%20VIII.jpg)
Верно ли утверждение?
При х = 2,5 производные функций f(x) и g(x) имеют одинаковые знаки.
Atsakymų variantai rodomi tik registruotiems sistemos eTest.lt vartotojams. Mokytojo registracija, mokinio registracija
Taškų skaičius už teisingą atsakymą: 1
Klausimas #40
Функции f(x) и g(x) заданы на отрезке [0; 4] своими графиками (части графиков, отвечающие промежуткам [0; 1] и [3; 4], составлены из отрезков прямых).
%20VIII.jpg)
Верно ли утверждение?
Уравнение f(x) ⋅g(x) = –2 имеет решение на отрезке [3; 4].
Atsakymų variantai rodomi tik registruotiems sistemos eTest.lt vartotojams. Mokytojo registracija, mokinio registracija
Taškų skaičius už teisingą atsakymą: 1
Klausimas #41
Верно ли утверждение?
Если первые два члена арифметической прогрессии равны 2 и 8, то эта прогрессия содержит число 64.
Atsakymų variantai rodomi tik registruotiems sistemos eTest.lt vartotojams. Mokytojo registracija, mokinio registracija
Taškų skaičius už teisingą atsakymą: 1
Klausimas #42
Верно ли утверждение?
Если в последовательности каждый следующий член на 20% больше предыдущего, то эта последовательность – геометрическая прогрессия.
Atsakymų variantai rodomi tik registruotiems sistemos eTest.lt vartotojams. Mokytojo registracija, mokinio registracija
Taškų skaičius už teisingą atsakymą: 1
Klausimas #43
Верно ли утверждение?
При некотором натуральном n число 10 + 4 n делится на 3.
Atsakymų variantai rodomi tik registruotiems sistemos eTest.lt vartotojams. Mokytojo registracija, mokinio registracija
Taškų skaičius už teisingą atsakymą: 1
Klausimas #44
Верно ли утверждение?
5 2 – самая большая степень числа 2, на которую делится число 10! = 1 ⋅ 2 ⋅ 3 ⋅ … ⋅ 10.
Atsakymų variantai rodomi tik registruotiems sistemos eTest.lt vartotojams. Mokytojo registracija, mokinio registracija
Taškų skaičius už teisingą atsakymą: 1
Klausimas #45
Верно ли утверждение?
Число четырехбуквенных «слов» с неповторяющимися буквами, составленных из букв А, Б, В, Г, Д, Е и начинающихся с гласной, равно 120.
Atsakymų variantai rodomi tik registruotiems sistemos eTest.lt vartotojams. Mokytojo registracija, mokinio registracija
Taškų skaičius už teisingą atsakymą: 1
Klausimas #46
Верно ли, что данное неравенство выполняется для всех x из промежутка [–1; 1]?
х2 > 5x – 6
Atsakymų variantai rodomi tik registruotiems sistemos eTest.lt vartotojams. Mokytojo registracija, mokinio registracija
Taškų skaičius už teisingą atsakymą: 1
Klausimas #47
Верно ли, что данное неравенство выполняется для всех x из промежутка [–1; 1]?
Atsakymų variantai rodomi tik registruotiems sistemos eTest.lt vartotojams. Mokytojo registracija, mokinio registracija
Taškų skaičius už teisingą atsakymą: 1
Klausimas #48
Верно ли, что данное неравенство выполняется для всех x из промежутка [–1; 1]?
Atsakymų variantai rodomi tik registruotiems sistemos eTest.lt vartotojams. Mokytojo registracija, mokinio registracija
Taškų skaičius už teisingą atsakymą: 1
Klausimas #49
Верно ли, что данное неравенство выполняется для всех x из промежутка [–1; 1]?
Atsakymų variantai rodomi tik registruotiems sistemos eTest.lt vartotojams. Mokytojo registracija, mokinio registracija
Taškų skaičius už teisingą atsakymą: 1
Klausimas #50
Верно ли, что данное неравенство выполняется для всех x из промежутка [–1; 1]?
Atsakymų variantai rodomi tik registruotiems sistemos eTest.lt vartotojams. Mokytojo registracija, mokinio registracija
Taškų skaičius už teisingą atsakymą: 1
Klausimas #51
Дана функция A(x)= sin2 x − cos2 x .
Верно ли утверждение?
Число π является периодом функции А(х).
Atsakymų variantai rodomi tik registruotiems sistemos eTest.lt vartotojams. Mokytojo registracija, mokinio registracija
Taškų skaičius už teisingą atsakymą: 1
Klausimas #52
Дана функция A(x)= sin2 x − cos2 x .
Верно ли утверждение?
Atsakymų variantai rodomi tik registruotiems sistemos eTest.lt vartotojams. Mokytojo registracija, mokinio registracija
Taškų skaičius už teisingą atsakymą: 1
Klausimas #53
Дана функция A(x)= sin2 x − cos2 x .
Верно ли утверждение?
Atsakymų variantai rodomi tik registruotiems sistemos eTest.lt vartotojams. Mokytojo registracija, mokinio registracija
Taškų skaičius už teisingą atsakymą: 1
Klausimas #54
Дана функция A(x)= sin2 x − cos2 x .
Верно ли утверждение?
Уравнение A(x) = 2 имеет решение.
Atsakymų variantai rodomi tik registruotiems sistemos eTest.lt vartotojams. Mokytojo registracija, mokinio registracija
Taškų skaičius už teisingą atsakymą: 1
Klausimas #55
Дана функция A(x)= sin2 x − cos2 x .
Верно ли утверждение?
График функции y = А(х) имеет ось симметрии.
Atsakymų variantai rodomi tik registruotiems sistemos eTest.lt vartotojams. Mokytojo registracija, mokinio registracija
Taškų skaičius už teisingą atsakymą: 1
Klausimas #56
В правильной шестиугольной призме
%20XII(1).jpg)
Верно ли утверждение?
Среди ребер призмы ровно 8 лежат на прямых, скрещивающихся с АВ.
Atsakymų variantai rodomi tik registruotiems sistemos eTest.lt vartotojams. Mokytojo registracija, mokinio registracija
Taškų skaičius už teisingą atsakymą: 1
Klausimas #57
В правильной шестиугольной призме
%20XII(1).jpg)
Верно ли утверждение?
Atsakymų variantai rodomi tik registruotiems sistemos eTest.lt vartotojams. Mokytojo registracija, mokinio registracija
Taškų skaičius už teisingą atsakymą: 1
Klausimas #58
В правильной шестиугольной призме
%20XII(1).jpg)
Верно ли утверждение?
Плоскость, проходящая через точки
A1 , D1 , B, проходит и через точку С.
Atsakymų variantai rodomi tik registruotiems sistemos eTest.lt vartotojams. Mokytojo registracija, mokinio registracija
Taškų skaičius už teisingą atsakymą: 1
Klausimas #59
В правильной шестиугольной призме
%20XII(1).jpg)
Верно ли утверждение?
Если φ – величина двугранного угла
между плоскостями АВС и A1 D1 B, то ctg φ =
Atsakymų variantai rodomi tik registruotiems sistemos eTest.lt vartotojams. Mokytojo registracija, mokinio registracija
Taškų skaičius už teisingą atsakymą: 1
Klausimas #60
В правильной шестиугольной призме
%20XII(1).jpg)
Верно ли утверждение?
Объем шара, описанного около этой призмы, больше 34.
Atsakymų variantai rodomi tik registruotiems sistemos eTest.lt vartotojams. Mokytojo registracija, mokinio registracija
Taškų skaičius už teisingą atsakymą: 1





