Конкурс по математике КЕНГУРУ - 2009-5 уровень-Россия
Klausimas #1
Верно ли, что равенство справедливо при всех допустимых значениях переменных?
(x + 2)2 ⋅ (x − 2)2 = x4 − 8x2 +16
Atsakymų variantai rodomi tik registruotiems sistemos eTest.lt vartotojams. Mokytojo registracija, mokinio registracija
Taškų skaičius už teisingą atsakymą: 1
Klausimas #2
Верно ли, что равенство справедливо при всех допустимых значениях переменных?
%202.jpg)
Atsakymų variantai rodomi tik registruotiems sistemos eTest.lt vartotojams. Mokytojo registracija, mokinio registracija
Taškų skaičius už teisingą atsakymą: 1
Klausimas #3
Верно ли, что равенство справедливо при всех допустимых значениях переменных?
lg(lg xy ) = lg y + lg(lg x)
Atsakymų variantai rodomi tik registruotiems sistemos eTest.lt vartotojams. Mokytojo registracija, mokinio registracija
Taškų skaičius už teisingą atsakymą: 1
Klausimas #4
Верно ли, что равенство справедливо при всех допустимых значениях переменных?
Atsakymų variantai rodomi tik registruotiems sistemos eTest.lt vartotojams. Mokytojo registracija, mokinio registracija
Taškų skaičius už teisingą atsakymą: 1
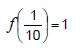
Klausimas #5
Верно ли, что равенство справедливо при всех допустимых значениях переменных?
Atsakymų variantai rodomi tik registruotiems sistemos eTest.lt vartotojams. Mokytojo registracija, mokinio registracija
Taškų skaičius už teisingą atsakymą: 1
Klausimas #6
Верно ли утверждение?
Наибольший общий делитель чисел 645 и 51 делится на 17.
Atsakymų variantai rodomi tik registruotiems sistemos eTest.lt vartotojams. Mokytojo registracija, mokinio registracija
Taškų skaičius už teisingą atsakymą: 1
Klausimas #7
Верно ли утверждение?
Число
Atsakymų variantai rodomi tik registruotiems sistemos eTest.lt vartotojams. Mokytojo registracija, mokinio registracija
Taškų skaičius už teisingą atsakymą: 1
Klausimas #8
Верно ли утверждение?
Если некоторая величина растет на 30% в год, то за три года она вырастет более чем в два раза.
Atsakymų variantai rodomi tik registruotiems sistemos eTest.lt vartotojams. Mokytojo registracija, mokinio registracija
Taškų skaičius už teisingą atsakymą: 1
Klausimas #9
Верно ли утверждение?
Из шести букв слова ЗАДАЧА можно образовать ровно 12 различных двухбуквенных «слов».
Atsakymų variantai rodomi tik registruotiems sistemos eTest.lt vartotojams. Mokytojo registracija, mokinio registracija
Taškų skaičius už teisingą atsakymą: 1
Klausimas #10
Верно ли утверждение?
Десятизначных чисел с произведением цифр 15 в два раза больше, чем десятизначных чисел с произведением цифр 25.
Atsakymų variantai rodomi tik registruotiems sistemos eTest.lt vartotojams. Mokytojo registracija, mokinio registracija
Taškų skaičius už teisingą atsakymą: 1
Klausimas #11
Верно ли, что данное уравнение имеет более одного действительного корня?
Atsakymų variantai rodomi tik registruotiems sistemos eTest.lt vartotojams. Mokytojo registracija, mokinio registracija
Taškų skaičius už teisingą atsakymą: 1
Klausimas #12
Верно ли, что данное уравнение имеет более одного действительного корня?
x3 − x2 − x +1= 0
Atsakymų variantai rodomi tik registruotiems sistemos eTest.lt vartotojams. Mokytojo registracija, mokinio registracija
Taškų skaičius už teisingą atsakymą: 1
Klausimas #13
Верно ли, что данное уравнение имеет более одного действительного корня?
Atsakymų variantai rodomi tik registruotiems sistemos eTest.lt vartotojams. Mokytojo registracija, mokinio registracija
Taškų skaičius už teisingą atsakymą: 1
Klausimas #14
Верно ли, что данное уравнение имеет более одного действительного корня?
log2 x + log2(x − 3) = 2
Atsakymų variantai rodomi tik registruotiems sistemos eTest.lt vartotojams. Mokytojo registracija, mokinio registracija
Taškų skaičius už teisingą atsakymą: 1
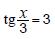
Klausimas #15
Верно ли, что данное уравнение имеет более одного действительного корня?
Atsakymų variantai rodomi tik registruotiems sistemos eTest.lt vartotojams. Mokytojo registracija, mokinio registracija
Taškų skaičius už teisingą atsakymą: 1
Klausimas #16
Верно ли утверждение?
Если сумма квадратов двух сторон треугольника меньше квадрата третьей стороны, то этот треугольник – тупоугольный.
Atsakymų variantai rodomi tik registruotiems sistemos eTest.lt vartotojams. Mokytojo registracija, mokinio registracija
Taškų skaičius už teisingą atsakymą: 1
Klausimas #17
Верно ли утверждение?
В треугольнике с углами 55º, 60º и 65º наименьшая высота опущена из вершины угла 55º.
Atsakymų variantai rodomi tik registruotiems sistemos eTest.lt vartotojams. Mokytojo registracija, mokinio registracija
Taškų skaičius už teisingą atsakymą: 1
Klausimas #18
Верно ли утверждение?
Если многоугольник с периметром 100 описан вокруг круга радиуса 1, то площадь этого многоугольника равна 50.
Atsakymų variantai rodomi tik registruotiems sistemos eTest.lt vartotojams. Mokytojo registracija, mokinio registracija
Taškų skaičius už teisingą atsakymą: 1
Klausimas #19
Верно ли утверждение?
Если куб растянуть в прямоугольный параллелепипед, увеличив одно ребро вдвое, второе – втрое, третье – вчетверо, то поверхность тела увеличится в
Atsakymų variantai rodomi tik registruotiems sistemos eTest.lt vartotojams. Mokytojo registracija, mokinio registracija
Taškų skaičius už teisingą atsakymą: 1
Klausimas #20
Верно ли утверждение?
Плоскости, содержащие грани тетраэдра, разбивают пространство на 15 частей.
Atsakymų variantai rodomi tik registruotiems sistemos eTest.lt vartotojams. Mokytojo registracija, mokinio registracija
Taškų skaičius už teisingą atsakymą: 1
Klausimas #21
Верно ли числовое неравенство?
Atsakymų variantai rodomi tik registruotiems sistemos eTest.lt vartotojams. Mokytojo registracija, mokinio registracija
Taškų skaičius už teisingą atsakymą: 1
Klausimas #22
Верно ли числовое неравенство?
Atsakymų variantai rodomi tik registruotiems sistemos eTest.lt vartotojams. Mokytojo registracija, mokinio registracija
Taškų skaičius už teisingą atsakymą: 1
Klausimas #23
Верно ли числовое неравенство?
cos1° + cos2° + cos3° + ... + cos120° > 0
Atsakymų variantai rodomi tik registruotiems sistemos eTest.lt vartotojams. Mokytojo registracija, mokinio registracija
Taškų skaičius už teisingą atsakymą: 1
Klausimas #24
Верно ли числовое неравенство?
Atsakymų variantai rodomi tik registruotiems sistemos eTest.lt vartotojams. Mokytojo registracija, mokinio registracija
Taškų skaičius už teisingą atsakymą: 1
Klausimas #25
Верно ли числовое неравенство?
cos(1+ sin 2) > cos(1+ sin3)
Atsakymų variantai rodomi tik registruotiems sistemos eTest.lt vartotojams. Mokytojo registracija, mokinio registracija
Taškų skaičius už teisingą atsakymą: 1
Klausimas #26
Верно ли утверждение про функцию f (x) = lg2 x ?
Atsakymų variantai rodomi tik registruotiems sistemos eTest.lt vartotojams. Mokytojo registracija, mokinio registracija
Taškų skaičius už teisingą atsakymą: 1
Klausimas #27
Верно ли утверждение про функцию f (x) = lg2 x ?
Областью определения функции является вся числовая ось без точки 0.
Atsakymų variantai rodomi tik registruotiems sistemos eTest.lt vartotojams. Mokytojo registracija, mokinio registracija
Taškų skaičius už teisingą atsakymą: 1
Klausimas #28
Верно ли утверждение про функцию f (x) = lg2 x ?
Каждое свое ненулевое значение функция f принимает два раза.
Atsakymų variantai rodomi tik registruotiems sistemos eTest.lt vartotojams. Mokytojo registracija, mokinio registracija
Taškų skaičius už teisingą atsakymą: 1
Klausimas #29
Верно ли утверждение про функцию f (x) = lg2 x ?
Если x > 1, то f ′(x) > 0 .
Atsakymų variantai rodomi tik registruotiems sistemos eTest.lt vartotojams. Mokytojo registracija, mokinio registracija
Taškų skaičius už teisingą atsakymą: 1
Klausimas #30
Верно ли утверждение про функцию f (x) = lg2 x ?
Каждая прямая вида y = kx пересекает график y = f (x) не более чем в двух точках.
Atsakymų variantai rodomi tik registruotiems sistemos eTest.lt vartotojams. Mokytojo registracija, mokinio registracija
Taškų skaičius už teisingą atsakymą: 1
Klausimas #31
В треугольнике АВС отрезок ВМ – биссектриса, ВМ = МС, АВ = 2, ∠A = 30° . Верно ли утверждение?
∠MBC = 50°
Atsakymų variantai rodomi tik registruotiems sistemos eTest.lt vartotojams. Mokytojo registracija, mokinio registracija
Taškų skaičius už teisingą atsakymą: 1
Klausimas #32
В треугольнике АВС отрезок ВМ – биссектриса, ВМ = МС, АВ = 2, ∠A = 30° . Верно ли утверждение?
Треугольники АВС и АВМ подобны.
Atsakymų variantai rodomi tik registruotiems sistemos eTest.lt vartotojams. Mokytojo registracija, mokinio registracija
Taškų skaičius už teisingą atsakymą: 1
Klausimas #33
В треугольнике АВС отрезок ВМ – биссектриса, ВМ = МС, АВ = 2, ∠A = 30° . Верно ли утверждение?
Центр окружности, описанной вокруг треугольника АВС, лежит внутри этого треугольника.
Atsakymų variantai rodomi tik registruotiems sistemos eTest.lt vartotojams. Mokytojo registracija, mokinio registracija
Taškų skaičius už teisingą atsakymą: 1
Klausimas #34
В треугольнике АВС отрезок ВМ – биссектриса, ВМ = МС, АВ = 2, ∠A = 30° . Верно ли утверждение?
Площадь треугольника АВС равна 2cos50° .
Atsakymų variantai rodomi tik registruotiems sistemos eTest.lt vartotojams. Mokytojo registracija, mokinio registracija
Taškų skaičius už teisingą atsakymą: 1
Klausimas #35
В треугольнике АВС отрезок ВМ – биссектриса, ВМ = МС, АВ = 2, ∠A = 30° . Верно ли утверждение?
Atsakymų variantai rodomi tik registruotiems sistemos eTest.lt vartotojams. Mokytojo registracija, mokinio registracija
Taškų skaičius už teisingą atsakymą: 1
Klausimas #36
Верно ли, что множеством решений данного неравенства является некоторый отрезок [a, b]?
x2 − 5x + 6 ≥ 0
Atsakymų variantai rodomi tik registruotiems sistemos eTest.lt vartotojams. Mokytojo registracija, mokinio registracija
Taškų skaičius už teisingą atsakymą: 1
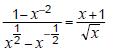
Klausimas #37
Верно ли, что множеством решений данного неравенства является некоторый отрезок [a, b]?
Atsakymų variantai rodomi tik registruotiems sistemos eTest.lt vartotojams. Mokytojo registracija, mokinio registracija
Taškų skaičius už teisingą atsakymą: 1
Klausimas #38
Верно ли, что множеством решений данного неравенства является некоторый отрезок [a, b]?
(x2 − 3x + 2) ⋅ (x2 − 5x + 6) ≤ 0
Atsakymų variantai rodomi tik registruotiems sistemos eTest.lt vartotojams. Mokytojo registracija, mokinio registracija
Taškų skaičius už teisingą atsakymą: 1
Klausimas #39
Верно ли, что множеством решений данного неравенства является некоторый отрезок [a, b]?
4x + 2x − 6 ≤ 0
Atsakymų variantai rodomi tik registruotiems sistemos eTest.lt vartotojams. Mokytojo registracija, mokinio registracija
Taškų skaičius už teisingą atsakymą: 1
Klausimas #40
Верно ли, что множеством решений данного неравенства является некоторый отрезок [a, b]?
lg(1− |x| ) ≤ −1
Atsakymų variantai rodomi tik registruotiems sistemos eTest.lt vartotojams. Mokytojo registracija, mokinio registracija
Taškų skaičius už teisingą atsakymą: 1
Klausimas #41
Верно ли утверждение?
В арифметической прогрессии с четвертым членом 5 и шестым
членом 9 имеется член, равный 20.
Atsakymų variantai rodomi tik registruotiems sistemos eTest.lt vartotojams. Mokytojo registracija, mokinio registracija
Taškų skaičius už teisingą atsakymą: 1
Klausimas #42
Верно ли утверждение?
В геометрической прогрессии с четвертым членом 5 и шестым членом 9 нет других членов, являющихся целыми числами.
Atsakymų variantai rodomi tik registruotiems sistemos eTest.lt vartotojams. Mokytojo registracija, mokinio registracija
Taškų skaičius už teisingą atsakymą: 1
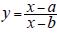
Klausimas #43
Верно ли утверждение?
Если график функции y = f (x) имеет ось симметрии х = а, то функция g(x) = f (x + a) четна.
Atsakymų variantai rodomi tik registruotiems sistemos eTest.lt vartotojams. Mokytojo registracija, mokinio registracija
Taškų skaičius už teisingą atsakymą: 1
Klausimas #44
Верно ли утверждение?
Если f (x) = sin x + cos x , то функция y = 1− f 2(x) нечетна.
Atsakymų variantai rodomi tik registruotiems sistemos eTest.lt vartotojams. Mokytojo registracija, mokinio registracija
Taškų skaičius už teisingą atsakymą: 1
Klausimas #45
Верно ли утверждение?
Число 15π является периодом функции
%2045.jpg)
Atsakymų variantai rodomi tik registruotiems sistemos eTest.lt vartotojams. Mokytojo registracija, mokinio registracija
Taškų skaičius už teisingą atsakymą: 1
Klausimas #46
Верно ли утверждение?
Если 2x + 3 > 5 , то 3x + 4 > 6 .
Atsakymų variantai rodomi tik registruotiems sistemos eTest.lt vartotojams. Mokytojo registracija, mokinio registracija
Taškų skaičius už teisingą atsakymą: 1
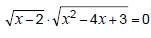
Klausimas #47
Верно ли утверждение?
Уравнение
Atsakymų variantai rodomi tik registruotiems sistemos eTest.lt vartotojams. Mokytojo registracija, mokinio registracija
Taškų skaičius už teisingą atsakymą: 1
Klausimas #48
Верно ли утверждение?
Уравнение 5x8 − 7x5 + 2 = 0 имеет отрицательный корень.
Atsakymų variantai rodomi tik registruotiems sistemos eTest.lt vartotojams. Mokytojo registracija, mokinio registracija
Taškų skaičius už teisingą atsakymą: 1
Klausimas #49
Верно ли утверждение?
Уравнение (x −1) ⋅ (5x8 − 7x5 + 2) = 0 имеет столько же различныхкорней, сколько и уравнение 5x8 − 7x5 + 2 = 0 .
Atsakymų variantai rodomi tik registruotiems sistemos eTest.lt vartotojams. Mokytojo registracija, mokinio registracija
Taškų skaičius už teisingą atsakymą: 1
Klausimas #50
Верно ли утверждение?
Для любого корня уравнения
Atsakymų variantai rodomi tik registruotiems sistemos eTest.lt vartotojams. Mokytojo registracija, mokinio registracija
Taškų skaičius už teisingą atsakymą: 1
Klausimas #51
Из точки М на плоскость α опущен перпендикуляр МA и проведены две равные наклонные МB и МC. Точка P – сере- дина отрезка BC. Угол ∠PMA равен 30º, МA = 2.
%20XI.jpg)
Верны ли утверждения?
Отрезки AМ и BC перпендикулярны.
Atsakymų variantai rodomi tik registruotiems sistemos eTest.lt vartotojams. Mokytojo registracija, mokinio registracija
Taškų skaičius už teisingą atsakymą: 1
Klausimas #52
Из точки М на плоскость α опущен перпендикуляр МA и проведены две равные наклонные МB и МC. Точка P – сере- дина отрезка BC. Угол ∠PMA равен 30º, МA = 2.
%20XI.jpg)
Верны ли утверждения?
Площадь треугольника МВС вдвое больше, чем площадь треугольника АВС.
Atsakymų variantai rodomi tik registruotiems sistemos eTest.lt vartotojams. Mokytojo registracija, mokinio registracija
Taškų skaičius už teisingą atsakymą: 1
Klausimas #53
Из точки М на плоскость α опущен перпендикуляр МA и проведены две равные наклонные МB и МC. Точка P – сере- дина отрезка BC. Угол ∠PMA равен 30º, МA = 2.
%20XI.jpg)
Верны ли утверждения?
Справедливо векторное равенство
Atsakymų variantai rodomi tik registruotiems sistemos eTest.lt vartotojams. Mokytojo registracija, mokinio registracija
Taškų skaičius už teisingą atsakymą: 1
Klausimas #54
Из точки М на плоскость α опущен перпендикуляр МA и проведены две равные наклонные МB и МC. Точка P – сере- дина отрезка BC. Угол ∠PMA равен 30º, МA = 2.
%20XI.jpg)
Верны ли утверждения?
Объем пирамиды МAВС не может быть больше 1000.
Atsakymų variantai rodomi tik registruotiems sistemos eTest.lt vartotojams. Mokytojo registracija, mokinio registracija
Taškų skaičius už teisingą atsakymą: 1
Klausimas #55
Из точки М на плоскость α опущен перпендикуляр МA и проведены две равные наклонные МB и МC. Точка P – сере- дина отрезка BC. Угол ∠PMA равен 30º, МA = 2.
%20XI.jpg)
Верны ли утверждения?
Радиус шара, вписанного в пирамиду ABCM, меньше Atsakymų variantai rodomi tik registruotiems sistemos eTest.lt vartotojams. Mokytojo registracija, mokinio registracija
Taškų skaičius už teisingą atsakymą: 1
Klausimas #56
Верно ли утверждение?
Найдется значение параметра а, при котором прямая y = ax + 2 пересекает ось Оу ниже, чем парабола y = x2 +1.
Atsakymų variantai rodomi tik registruotiems sistemos eTest.lt vartotojams. Mokytojo registracija, mokinio registracija
Taškų skaičius už teisingą atsakymą: 1
Klausimas #57
Верно ли утверждение?
График функции y = x3 + 6x2 +12x + 3 имеет ровно две горизонтальные касательные.
Atsakymų variantai rodomi tik registruotiems sistemos eTest.lt vartotojams. Mokytojo registracija, mokinio registracija
Taškų skaičius už teisingą atsakymą: 1
Klausimas #58
Верно ли утверждение?э
При некотором значении параметра а система уравнений
Atsakymų variantai rodomi tik registruotiems sistemos eTest.lt vartotojams. Mokytojo registracija, mokinio registracija
Taškų skaičius už teisingą atsakymą: 1
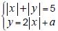
Klausimas #59
Верно ли утверждение?
Для всякого значения параметра а найдется такое значение b, что функция
Atsakymų variantai rodomi tik registruotiems sistemos eTest.lt vartotojams. Mokytojo registracija, mokinio registracija
Taškų skaičius už teisingą atsakymą: 1
Klausimas #60
Верно ли утверждение?
Если ордината вершины параболы y = x2 + bx + c равна –5, то между корнями уравнения x2 + bx + c = 0 всегда расположено ровно 5 целых чисел.
Atsakymų variantai rodomi tik registruotiems sistemos eTest.lt vartotojams. Mokytojo registracija, mokinio registracija
Taškų skaičius už teisingą atsakymą: 1





