Конкурс по математике КЕНГУРУ - 2010-4 уровень-Россия
Klausimas #1
На рисунке показано, как слово КЕНГУРУ отражается в двух зеркалах. Что получится, если то же самое проделать с числом 2010 ?

Atsakymų variantai rodomi tik registruotiems sistemos eTest.lt vartotojams. Mokytojo registracija, mokinio registracija
Taškų skaičius už teisingą atsakymą: 1
Klausimas #2
В 2009 году мэром в Цветочном городе был Незнайка. В результате цены выросли на 10000%. Во сколько раз выросли цены?
Atsakymų variantai rodomi tik registruotiems sistemos eTest.lt vartotojams. Mokytojo registracija, mokinio registracija
Taškų skaičius už teisingą atsakymą: 1
Klausimas #3
На плоскости отметили 6 точек — вершины правильного шестиугольника. Какой из перечисленных многоугольников не может иметь все свои вершины в отмеченных точках?

Atsakymų variantai rodomi tik registruotiems sistemos eTest.lt vartotojams. Mokytojo registracija, mokinio registracija
Taškų skaičius už teisingą atsakymą: 1
Klausimas #4
В отличие от неравенства 2010 < 2011, неравенство 2010 < 2011 называется
Atsakymų variantai rodomi tik registruotiems sistemos eTest.lt vartotojams. Mokytojo registracija, mokinio registracija
Taškų skaičius už teisingą atsakymą: 1
Klausimas #5
Найдите n, если 9n+ 9n + 9n + 9n + 9n + 9n + 9n + 9n + 9n = 32010
Atsakymų variantai rodomi tik registruotiems sistemos eTest.lt vartotojams. Mokytojo registracija, mokinio registracija
Taškų skaičius už teisingą atsakymą: 1
Klausimas #6
Вася «шифрует» числа: вместо четной цифры он рисует квадрат, вместо нечетной — круг. Если цифра делится на 3, он закрашивает соответствующую ей фигуру, а если не делится — оставляет белой. Так, число 23 превращается в картинку
Atsakymų variantai rodomi tik registruotiems sistemos eTest.lt vartotojams. Mokytojo registracija, mokinio registracija
Taškų skaičius už teisingą atsakymą: 1
Klausimas #7
Четырехугольник АВСЕ — квадрат, ВСF и СDЕ — правильные треугольники, АВ = 1. Найдите FD.
%207.jpg)
Atsakymų variantai rodomi tik registruotiems sistemos eTest.lt vartotojams. Mokytojo registracija, mokinio registracija
Taškų skaičius už teisingą atsakymą: 1
Klausimas #8
У Ивана много родственников. Отец отца сына Ивана — Василий, а отец отца Ивана — Николай. Как зовут отца сына отца Ивана?
Atsakymų variantai rodomi tik registruotiems sistemos eTest.lt vartotojams. Mokytojo registracija, mokinio registracija
Taškų skaičius už teisingą atsakymą: 1
Klausimas #9
Среди нескольких различных простых чисел ровно п% делятся на 5. Чему не может равняться п ?
Atsakymų variantai rodomi tik registruotiems sistemos eTest.lt vartotojams. Mokytojo registracija, mokinio registracija
Taškų skaičius už teisingą atsakymą: 1
Klausimas #10
Придя в школу, каждый из пяти друзей отметил на координатной плоскости точку с такими координатами: время I, затраченное им на дорогу от дома до школы, и пройденное расстояние 5. Кто из ребят шел быстрее всех?
%2010.jpg)
Atsakymų variantai rodomi tik registruotiems sistemos eTest.lt vartotojams. Mokytojo registracija, mokinio registracija
Taškų skaičius už teisingą atsakymą: 1
Klausimas #11
Если 2а - b = 505 и 3b - с = 333 , то 4а + 7b - 3с равно
Atsakymų variantai rodomi tik registruotiems sistemos eTest.lt vartotojams. Mokytojo registracija, mokinio registracija
Taškų skaičius už teisingą atsakymą: 1
Klausimas #12
На сторонах АВ и АС треугольника АВС как на диаметрах построили окружности, которые пересекаются в точках А и Р. Тогда для треугольника АВС точка Р обязательно является
Atsakymų variantai rodomi tik registruotiems sistemos eTest.lt vartotojams. Mokytojo registracija, mokinio registracija
Taškų skaičius už teisingą atsakymą: 1
Klausimas #13
В кладовке имеются большие и маленькие коробки. В маленькую коробку помещается только один мяч, а в большую — два. 13 мячей можно разложить по коробкам так, чтобы осталось 9 пустых коробок. 10 мячей можно разложить по коробкам так, чтобы осталось 6 пустых коробок. Сколько коробок в кладовке?
Atsakymų variantai rodomi tik registruotiems sistemos eTest.lt vartotojams. Mokytojo registracija, mokinio registracija
Taškų skaičius už teisingą atsakymą: 1
Klausimas #14
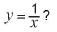
На сколько частей делят координатную плоскость кривые у = (х +10)2 - 20 и
Atsakymų variantai rodomi tik registruotiems sistemos eTest.lt vartotojams. Mokytojo registracija, mokinio registracija
Taškų skaičius už teisingą atsakymą: 1
Klausimas #15
В музыкальной школе количество участников «Кенгуру» — это 6% от числа всех девочек и 30% от числа всех мальчиков. Сколько процентов учеников этой школы участвовали в конкурсе «Кенгуру»?
Atsakymų variantai rodomi tik registruotiems sistemos eTest.lt vartotojams. Mokytojo registracija, mokinio registracija
Taškų skaičius už teisingą atsakymą: 1
Klausimas #16
Бумажную полоску трижды сложили пополам, а потом разогнули. Что не могло получиться?
%2016.jpg)
Atsakymų variantai rodomi tik registruotiems sistemos eTest.lt vartotojams. Mokytojo registracija, mokinio registracija
Taškų skaičius už teisingą atsakymą: 1
Klausimas #17
Сколько натуральных чисел имеют сумму цифр 2010 и произведение цифр 2?
Atsakymų variantai rodomi tik registruotiems sistemos eTest.lt vartotojams. Mokytojo registracija, mokinio registracija
Taškų skaičius už teisingą atsakymą: 1
Klausimas #18
Когда треугольник согнули по пунктирной линии, получилась фигура, изображенная справа. Площадь закрашенной области равна 1, а площадь исходного треугольника в 1,5 раза больше площади всей полученной фигуры. Найдите площадь исходного треугольника.
Atsakymų variantai rodomi tik registruotiems sistemos eTest.lt vartotojams. Mokytojo registracija, mokinio registracija
Taškų skaičius už teisingą atsakymą: 1
Klausimas #19
Дворник работает по вторникам, пятницам и нечетным числам. Какое наибольшее количество дней подряд он может работать?
Atsakymų variantai rodomi tik registruotiems sistemos eTest.lt vartotojams. Mokytojo registracija, mokinio registracija
Taškų skaičius už teisingą atsakymą: 1
Klausimas #20
На координатной плоскости отмечено 6 точек. Известно, что график функции f проходит через какие-то 4 из этих точек. Какой может быть функция f ?
%2020.jpg)
Atsakymų variantai rodomi tik registruotiems sistemos eTest.lt vartotojams. Mokytojo registracija, mokinio registracija
Taškų skaičius už teisingą atsakymą: 1
Klausimas #21
Для скольких чисел п из набора 1, 2, 3, 100 число nn является квадратом некоторого натурального числа?
Atsakymų variantai rodomi tik registruotiems sistemos eTest.lt vartotojams. Mokytojo registracija, mokinio registracija
Taškų skaičius už teisingą atsakymą: 1
Klausimas #22
Карлсон, Винни-Пух и Чебурашка съели торт. Они ели по очереди, и каждый из них ел столько времени, сколько понадобилось бы двум другим едокам, чтобы, «работая» вместе, съесть половину торта. Во сколько раз быстрее они съели бы торт, если бы ели все вместе, а не по очереди?
Atsakymų variantai rodomi tik registruotiems sistemos eTest.lt vartotojams. Mokytojo registracija, mokinio registracija
Taškų skaičius už teisingą atsakymą: 1
Klausimas #23
В равнобедренной трапеции ЛБСБ точка Х — середина боковой стороны АВ , ВХ = 1, +СХБ = 90°. Найдите периметр этой трапеции.
%2023.jpg)
Atsakymų variantai rodomi tik registruotiems sistemos eTest.lt vartotojams. Mokytojo registracija, mokinio registracija
Taškų skaičius už teisingą atsakymą: 1
Klausimas #24
Про натуральное число m известно, что в десятичной записи числа m3 не менее 5 цифр, а в записи числа m8 не более 11 цифр. Сколько цифр в записи числа m24 ?
Atsakymų variantai rodomi tik registruotiems sistemos eTest.lt vartotojams. Mokytojo registracija, mokinio registracija
Taškų skaičius už teisingą atsakymą: 1
Klausimas #25
Штрих-код состоит из чередующихся черных и белых полос, причем первая и последняя полосы — черные. Ширина каждой полосы равна 1 или 2, а суммарная ширина штрих-кода должна равняться 12. Сколько существует различных штрих-кодов (читаемых слева направо) с такими свойствами?
%2025.jpg)
Atsakymų variantai rodomi tik registruotiems sistemos eTest.lt vartotojams. Mokytojo registracija, mokinio registracija
Taškų skaičius už teisingą atsakymą: 1
Klausimas #26
Площадь выпуклого четырехугольника равна 0,001 см2. Известно, что все его стороны и диагонали имеют длину не меньше 1 см, причем ровно к из них равны 1 см. Чему равно наибольшее возможное значение к ?
Atsakymų variantai rodomi tik registruotiems sistemos eTest.lt vartotojams. Mokytojo registracija, mokinio registracija
Taškų skaičius už teisingą atsakymą: 1
Klausimas #27
Число (2 + 3)(22 + 32)(24 + 34)(28 + 38)...(22048 + 32048) + 24096 равно
Atsakymų variantai rodomi tik registruotiems sistemos eTest.lt vartotojams. Mokytojo registracija, mokinio registracija
Taškų skaičius už teisingą atsakymą: 1
Klausimas #28
Ровно 1% солдат полка награждены медалями. Полк выстроили в форме прямоугольника. Оказалось, что награжденные солдаты встречаются ровно в 30% рядов и в 40% колонн. Какое наименьшее количество солдат может быть в этом полку?
Atsakymų variantai rodomi tik registruotiems sistemos eTest.lt vartotojams. Mokytojo registracija, mokinio registracija
Taškų skaičius už teisingą atsakymą: 1
Klausimas #29
В четырехугольнике ABCD известны некоторые углы между /30 |30° сторонами и диагоналями (см. рисунок). Найдите + ACD. /70°
%2029.jpg)
Atsakymų variantai rodomi tik registruotiems sistemos eTest.lt vartotojams. Mokytojo registracija, mokinio registracija
Taškų skaičius už teisingą atsakymą: 1
Klausimas #30
Сколькими способами произведение 1 • 2 • 3 •... • 9 • 10 можно представить в виде суммы двух или более последовательных натуральных чисел?
Atsakymų variantai rodomi tik registruotiems sistemos eTest.lt vartotojams. Mokytojo registracija, mokinio registracija
Taškų skaičius už teisingą atsakymą: 1





