Конкурс по математике КЕНГУРУ - 2010-5 уровень-Россия
Klausimas #1
Верно ли неравенство?
Atsakymų variantai rodomi tik registruotiems sistemos eTest.lt vartotojams. Mokytojo registracija, mokinio registracija
Taškų skaičius už teisingą atsakymą: 1
Klausimas #2
Верно ли неравенство?
Atsakymų variantai rodomi tik registruotiems sistemos eTest.lt vartotojams. Mokytojo registracija, mokinio registracija
Taškų skaičius už teisingą atsakymą: 1
Klausimas #3
Верно ли неравенство?
Atsakymų variantai rodomi tik registruotiems sistemos eTest.lt vartotojams. Mokytojo registracija, mokinio registracija
Taškų skaičius už teisingą atsakymą: 1
Klausimas #4
Верно ли неравенство?
Atsakymų variantai rodomi tik registruotiems sistemos eTest.lt vartotojams. Mokytojo registracija, mokinio registracija
Taškų skaičius už teisingą atsakymą: 1
Klausimas #5
Верно ли неравенство?
%205.jpg)
Atsakymų variantai rodomi tik registruotiems sistemos eTest.lt vartotojams. Mokytojo registracija, mokinio registracija
Taškų skaičius už teisingą atsakymą: 1
Klausimas #6
Справедливо ли тождество?
Atsakymų variantai rodomi tik registruotiems sistemos eTest.lt vartotojams. Mokytojo registracija, mokinio registracija
Taškų skaičius už teisingą atsakymą: 1
Klausimas #7
Справедливо ли тождество?
Atsakymų variantai rodomi tik registruotiems sistemos eTest.lt vartotojams. Mokytojo registracija, mokinio registracija
Taškų skaičius už teisingą atsakymą: 1
Klausimas #8
Справедливо ли тождество?
Atsakymų variantai rodomi tik registruotiems sistemos eTest.lt vartotojams. Mokytojo registracija, mokinio registracija
Taškų skaičius už teisingą atsakymą: 1
Klausimas #9
Справедливо ли тождество?
Atsakymų variantai rodomi tik registruotiems sistemos eTest.lt vartotojams. Mokytojo registracija, mokinio registracija
Taškų skaičius už teisingą atsakymą: 1
Klausimas #10
Справедливо ли тождество?
Atsakymų variantai rodomi tik registruotiems sistemos eTest.lt vartotojams. Mokytojo registracija, mokinio registracija
Taškų skaičius už teisingą atsakymą: 1
Klausimas #11
Верно ли утверждение?
В геометрической прогрессии со знаменателем, равным -2, среднее арифметическое первых трех членов равно второму члену.
Atsakymų variantai rodomi tik registruotiems sistemos eTest.lt vartotojams. Mokytojo registracija, mokinio registracija
Taškų skaičius už teisingą atsakymą: 1
Klausimas #12
Верно ли утверждение?
Если а1, а2... — арифметическая прогрессия, то все точки с координатами (n ;аn) лежат на одной прямой.
Atsakymų variantai rodomi tik registruotiems sistemos eTest.lt vartotojams. Mokytojo registracija, mokinio registracija
Taškų skaičius už teisingą atsakymą: 1
Klausimas #13
Верно ли утверждение?
23% от 20 сотен — это то же самое, что 2% от 23 тысяч.
Atsakymų variantai rodomi tik registruotiems sistemos eTest.lt vartotojams. Mokytojo registracija, mokinio registracija
Taškų skaičius už teisingą atsakymą: 1
Klausimas #14
Верно ли утверждение?
Если цена товара была уменьшена на 10%, то, чтобы вернуться к прежней цене, придется ее увеличить более чем на 11%.
Atsakymų variantai rodomi tik registruotiems sistemos eTest.lt vartotojams. Mokytojo registracija, mokinio registracija
Taškų skaičius už teisingą atsakymą: 1
Klausimas #15
Верно ли утверждение?
Если радиус первого арбуза на 25% меньше, чем радиус второго, то отношение объема второго к объему первого меньше, чем 2.
Atsakymų variantai rodomi tik registruotiems sistemos eTest.lt vartotojams. Mokytojo registracija, mokinio registracija
Taškų skaičius už teisingą atsakymą: 1
Klausimas #16
Верно ли, что каждое из чисел 1, 2, 3, 10 удовлетворяет неравенству?
х2 - 10х -11< 0
Atsakymų variantai rodomi tik registruotiems sistemos eTest.lt vartotojams. Mokytojo registracija, mokinio registracija
Taškų skaičius už teisingą atsakymą: 1
Klausimas #17
Верно ли, что каждое из чисел 1, 2, 3, 10 удовлетворяет неравенству?
(х - 1)(х - 5)(х - 7) > 0
Atsakymų variantai rodomi tik registruotiems sistemos eTest.lt vartotojams. Mokytojo registracija, mokinio registracija
Taškų skaičius už teisingą atsakymą: 1
Klausimas #18
Верно ли, что каждое из чисел 1, 2, 3, 10 удовлетворяет неравенству?
Atsakymų variantai rodomi tik registruotiems sistemos eTest.lt vartotojams. Mokytojo registracija, mokinio registracija
Taškų skaičius už teisingą atsakymą: 1
Klausimas #19
Верно ли, что каждое из чисел 1, 2, 3, 10 удовлетворяет неравенству?
Atsakymų variantai rodomi tik registruotiems sistemos eTest.lt vartotojams. Mokytojo registracija, mokinio registracija
Taškų skaičius už teisingą atsakymą: 1
Klausimas #20
Верно ли, что каждое из чисел 1, 2, 3, 10 удовлетворяет неравенству?
Atsakymų variantai rodomi tik registruotiems sistemos eTest.lt vartotojams. Mokytojo registracija, mokinio registracija
Taškų skaičius už teisingą atsakymą: 1
Klausimas #21
Верно ли утверждение?
Любой прямоугольник имеет четыре оси симметрии.
Atsakymų variantai rodomi tik registruotiems sistemos eTest.lt vartotojams. Mokytojo registracija, mokinio registracija
Taškų skaičius už teisingą atsakymą: 1
Klausimas #22
Верно ли утверждение?
Внутренний угол правильного 361-угольника меньше 179°.
Atsakymų variantai rodomi tik registruotiems sistemos eTest.lt vartotojams. Mokytojo registracija, mokinio registracija
Taškų skaičius už teisingą atsakymą: 1
Klausimas #23
Верно ли утверждение?
Если прямые а и b параллельны, а прямые b и с скрещиваются, то прямые а и с тоже скрещиваются.
Atsakymų variantai rodomi tik registruotiems sistemos eTest.lt vartotojams. Mokytojo registracija, mokinio registracija
Taškų skaičius už teisingą atsakymą: 1
Klausimas #24
Верно ли утверждение?
Если в треугольнике медиана меньше половины стороны, к которой она проведена, то этот треугольник тупоугольный.
Atsakymų variantai rodomi tik registruotiems sistemos eTest.lt vartotojams. Mokytojo registracija, mokinio registracija
Taškų skaičius už teisingą atsakymą: 1
Klausimas #25
Верно ли утверждение?
Если три серединных перпендикуляра к трем сторонам четырехугольника пересекаются в одной точке, то через эту точку проходит и середин¬ный перпендикуляр к четвертой стороне.
Atsakymų variantai rodomi tik registruotiems sistemos eTest.lt vartotojams. Mokytojo registracija, mokinio registracija
Taškų skaičius už teisingą atsakymą: 1
Klausimas #26
Большая окружность (с центром 02) проходит через центр 01 меньшей окружности, А и В — точки пересечения окружностей, отрезок ОС проходит через 01 и 02. Радиус меньшей окружности равен 1, +А0201 = а.
%20VI.jpg)
Верно ли утверждение?
+01АB = +01СB
Atsakymų variantai rodomi tik registruotiems sistemos eTest.lt vartotojams. Mokytojo registracija, mokinio registracija
Taškų skaičius už teisingą atsakymą: 1
Klausimas #27
Большая окружность (с центром 02) проходит через центр 01 меньшей окружности, А и В — точки пересечения окружностей, отрезок ОС проходит через 01 и 02. Радиус меньшей окружности равен 1, +А0201 = а.
%20VI.jpg)
Верно ли утверждение?
Прямая АС — касательная к меньшей окружности.
Atsakymų variantai rodomi tik registruotiems sistemos eTest.lt vartotojams. Mokytojo registracija, mokinio registracija
Taškų skaičius už teisingą atsakymą: 1
Klausimas #28
Большая окружность (с центром 02) проходит через центр 01 меньшей окружности, А и В — точки пересечения окружностей, отрезок ОС проходит через 01 и 02. Радиус меньшей окружности равен 1, +А0201 = а.
%20VI.jpg)
Верно ли утверждение?
Треугольник 01АБ подобен треугольнику 02АС.
Atsakymų variantai rodomi tik registruotiems sistemos eTest.lt vartotojams. Mokytojo registracija, mokinio registracija
Taškų skaičius už teisingą atsakymą: 1
Klausimas #29
Большая окружность (с центром 02) проходит через центр 01 меньшей окружности, А и В — точки пересечения окружностей, отрезок ОС проходит через 01 и 02. Радиус меньшей окружности равен 1, +А0201 = а.
%20VI.jpg)
Верно ли утверждение?
Atsakymų variantai rodomi tik registruotiems sistemos eTest.lt vartotojams. Mokytojo registracija, mokinio registracija
Taškų skaičius už teisingą atsakymą: 1
Klausimas #30
Большая окружность (с центром 02) проходит через центр 01 меньшей окружности, А и В — точки пересечения окружностей, отрезок ОС проходит через 01 и 02. Радиус меньшей окружности равен 1, +А0201 = а.
%20VI.jpg)
Верно ли утверждение?
Atsakymų variantai rodomi tik registruotiems sistemos eTest.lt vartotojams. Mokytojo registracija, mokinio registracija
Taškų skaičius už teisingą atsakymą: 1
Klausimas #31
Верно ли, что все корни уравнения лежат на отрезке [-2; 3]?
х 2 + 5 х - 8 = 0
Atsakymų variantai rodomi tik registruotiems sistemos eTest.lt vartotojams. Mokytojo registracija, mokinio registracija
Taškų skaičius už teisingą atsakymą: 1
Klausimas #32
Верно ли, что все корни уравнения лежат на отрезке [-2; 3]?
х 3 + 3 х 2 - х - 3 = 0
Atsakymų variantai rodomi tik registruotiems sistemos eTest.lt vartotojams. Mokytojo registracija, mokinio registracija
Taškų skaičius už teisingą atsakymą: 1
Klausimas #33
Верно ли, что все корни уравнения лежат на отрезке [-2; 3]?
Atsakymų variantai rodomi tik registruotiems sistemos eTest.lt vartotojams. Mokytojo registracija, mokinio registracija
Taškų skaičius už teisingą atsakymą: 1
Klausimas #34
Верно ли, что все корни уравнения лежат на отрезке [-2; 3]?
2lgх = lg(х + 2)
Atsakymų variantai rodomi tik registruotiems sistemos eTest.lt vartotojams. Mokytojo registracija, mokinio registracija
Taškų skaičius už teisingą atsakymą: 1
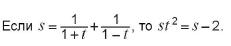
Klausimas #35
Верно ли, что все корни уравнения лежат на отрезке [-2; 3]?
Atsakymų variantai rodomi tik registruotiems sistemos eTest.lt vartotojams. Mokytojo registracija, mokinio registracija
Taškų skaičius už teisingą atsakymą: 1
Klausimas #36
Верно ли утверждение о функциях f(х) = 1lg2(х +1) и g(х) = 1 -х2 ?
Функции f(х) и f(х)• g(х) имеют одинаковые области определения.
Atsakymų variantai rodomi tik registruotiems sistemos eTest.lt vartotojams. Mokytojo registracija, mokinio registracija
Taškų skaičius už teisingą atsakymą: 1
Klausimas #37
Верно ли утверждение о функциях f(х) = 1lg2(х +1) и g(х) = 1 -х2 ?
На интервале (0; 1) обе функции f(х) и g(х) возрастают.
Atsakymų variantai rodomi tik registruotiems sistemos eTest.lt vartotojams. Mokytojo registracija, mokinio registracija
Taškų skaičius už teisingą atsakymą: 1
Klausimas #38
Верно ли утверждение о функциях f(х) = 1lg2(х +1) и g(х) = 1 -х2 ?
Уравнение f(х) = g(х) не имеет корней.
Atsakymų variantai rodomi tik registruotiems sistemos eTest.lt vartotojams. Mokytojo registracija, mokinio registracija
Taškų skaičius už teisingą atsakymą: 1
Klausimas #39
Верно ли утверждение о функциях f(х) = 1lg2(х +1) и g(х) = 1 -х2 ?
Функция f(х)-g(х) возрастает при х>0.
Atsakymų variantai rodomi tik registruotiems sistemos eTest.lt vartotojams. Mokytojo registracija, mokinio registracija
Taškų skaičius už teisingą atsakymą: 1
Klausimas #40
Верно ли утверждение о функциях f(х) = 1lg2(х +1) и g(х) = 1 -х2 ?
Если
Atsakymų variantai rodomi tik registruotiems sistemos eTest.lt vartotojams. Mokytojo registracija, mokinio registracija
Taškų skaičius už teisingą atsakymą: 1
Klausimas #41
Верно ли утверждение?
Прямые 4х+2у-6=0 и у=-2х+3 совпадают.
Atsakymų variantai rodomi tik registruotiems sistemos eTest.lt vartotojams. Mokytojo registracija, mokinio registracija
Taškų skaičius už teisingą atsakymą: 1
Klausimas #42
Верно ли утверждение?
Касательная к параболе у = х2 в точке (2; 4) параллельна прямой у=2х+1.
Atsakymų variantai rodomi tik registruotiems sistemos eTest.lt vartotojams. Mokytojo registracija, mokinio registracija
Taškų skaičius už teisingą atsakymą: 1
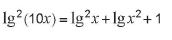
Klausimas #43
Верно ли утверждение?
%2043.jpg)
Atsakymų variantai rodomi tik registruotiems sistemos eTest.lt vartotojams. Mokytojo registracija, mokinio registracija
Taškų skaičius už teisingą atsakymą: 1
Klausimas #44
Верно ли утверждение?
Существует касательная к параболе у = х2, которая проходит через точку с координатами (10; 101) .
Atsakymų variantai rodomi tik registruotiems sistemos eTest.lt vartotojams. Mokytojo registracija, mokinio registracija
Taškų skaičius už teisingą atsakymą: 1
Klausimas #45
Верно ли утверждение?
Если область определения функции у = f(х) — это отрезок [-3; 1], то область определения функции у = f(3 -2х) — это отрезок [1; 3].
Atsakymų variantai rodomi tik registruotiems sistemos eTest.lt vartotojams. Mokytojo registracija, mokinio registracija
Taškų skaičius už teisingą atsakymą: 1
Klausimas #46
Верно ли утверждение?
Параболы у = х2 + 2х-3 и у = х2-х + 6 пересекаются в двух точках.
Atsakymų variantai rodomi tik registruotiems sistemos eTest.lt vartotojams. Mokytojo registracija, mokinio registracija
Taškų skaičius už teisingą atsakymą: 1
Klausimas #47
Верно ли утверждение?
Неравенство х2 + у2 > 2у -1 верно при всех значениях х и у.
Atsakymų variantai rodomi tik registruotiems sistemos eTest.lt vartotojams. Mokytojo registracija, mokinio registracija
Taškų skaičius už teisingą atsakymą: 1
Klausimas #48
Верно ли утверждение?
Если а>5, то вершина параболы у = ах2+ 2ах + 5 лежит в третьей четверти.
Atsakymų variantai rodomi tik registruotiems sistemos eTest.lt vartotojams. Mokytojo registracija, mokinio registracija
Taškų skaičius už teisingą atsakymą: 1
Klausimas #49
Если а>5, то вершина параболы у = ах2+ 2ах + 5 лежит в третьей четверти.
Существует ровно 2 значения параметра а, при которых оба корня квадратного уравнения х 2+ ах -15 = 0 целые.
Atsakymų variantai rodomi tik registruotiems sistemos eTest.lt vartotojams. Mokytojo registracija, mokinio registracija
Taškų skaičius už teisingą atsakymą: 1
Klausimas #50
Верно ли утверждение?
Все параболы вида у = х2+ 3ах + а проходят через одну точку.
Atsakymų variantai rodomi tik registruotiems sistemos eTest.lt vartotojams. Mokytojo registracija, mokinio registracija
Taškų skaičius už teisingą atsakymą: 1
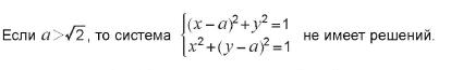
Klausimas #51
Верно ли утверждение?
Atsakymų variantai rodomi tik registruotiems sistemos eTest.lt vartotojams. Mokytojo registracija, mokinio registracija
Taškų skaičius už teisingą atsakymą: 1
Klausimas #52
Верно ли утверждение?
Неравенства lg(sin) < 0 и sin> 0 равносильны.
Atsakymų variantai rodomi tik registruotiems sistemos eTest.lt vartotojams. Mokytojo registracija, mokinio registracija
Taškų skaičius už teisingą atsakymą: 1
Klausimas #53
Верно ли утверждение?
ЕСЛИ 15 больших блокнотов стоят столько же, сколько 25 маленьких, то этих же денег хватит на покупку 10 больших блокнотов и 10 маленьких.
Atsakymų variantai rodomi tik registruotiems sistemos eTest.lt vartotojams. Mokytojo registracija, mokinio registracija
Taškų skaičius už teisingą atsakymą: 1
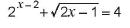
Klausimas #54
Верно ли утверждение?
%2054.jpg)
Atsakymų variantai rodomi tik registruotiems sistemos eTest.lt vartotojams. Mokytojo registracija, mokinio registracija
Taškų skaičius už teisingą atsakymą: 1
Klausimas #55
Верно ли утверждение?
Уравнения 2х3+ 3х2- 12х + 4 = 0 и 2х3 + 4х2- 14х + 5 = 0 имеют общий корень.
Atsakymų variantai rodomi tik registruotiems sistemos eTest.lt vartotojams. Mokytojo registracija, mokinio registracija
Taškų skaičius už teisingą atsakymą: 1
Klausimas #56
В прямую четырехугольную призму ABCDA1B1C1D1 с основанием ABCD вписан шар радиуса R.
Верно ли утверждение?
В эту призму можно вписать цилиндр.
Atsakymų variantai rodomi tik registruotiems sistemos eTest.lt vartotojams. Mokytojo registracija, mokinio registracija
Taškų skaičius už teisingą atsakymą: 1
Klausimas #57
В прямую четырехугольную призму ABCDA1B1C1D1 с основанием ABCD вписан шар радиуса R.
Верно ли утверждение?
АD+BС = АB+DС
Atsakymų variantai rodomi tik registruotiems sistemos eTest.lt vartotojams. Mokytojo registracija, mokinio registracija
Taškų skaičius už teisingą atsakymą: 1
Klausimas #58
В прямую четырехугольную призму ABCDA1B1C1D1 с основанием ABCD вписан шар радиуса R.
Верно ли утверждение?
ЕСЛИ V — объем призмы, а S — площадь ее основания, то V= 4RS.
Atsakymų variantai rodomi tik registruotiems sistemos eTest.lt vartotojams. Mokytojo registracija, mokinio registracija
Taškų skaičius už teisingą atsakymą: 1
Klausimas #59
В прямую четырехугольную призму ABCDA1B1C1D1 с основанием ABCD вписан шар радиуса R.
Верно ли утверждение?
Площадь боковой поверхности призмы в 2 раза больше площади основания.
Atsakymų variantai rodomi tik registruotiems sistemos eTest.lt vartotojams. Mokytojo registracija, mokinio registracija
Taškų skaičius už teisingą atsakymą: 1
Klausimas #60
В прямую четырехугольную призму ABCDA1B1C1D1 с основанием ABCD вписан шар радиуса R.
Верно ли утверждение?
Объем такой призмы может быть в 100 раз больше объема вписанного в нее шара.
Atsakymų variantai rodomi tik registruotiems sistemos eTest.lt vartotojams. Mokytojo registracija, mokinio registracija
Taškų skaičius už teisingą atsakymą: 1





