Konkurs z matematyki "Kangura" - 2000 - JUNIOR - Litwa
Klausimas #1
Liczba 333333 - 27 • 111113 jest równa
Atsakymų variantai rodomi tik registruotiems sistemos eTest.lt vartotojams. Mokytojo registracija, mokinio registracija
Taškų skaičius už teisingą atsakymą: 3
Klausimas #2
Na rysunku obok na dwóch prostych zaznaczono po cztery punkty. Ile istnieje trójkątów o wierzchołkach w tych punktach?
Atsakymų variantai rodomi tik registruotiems sistemos eTest.lt vartotojams. Mokytojo registracija, mokinio registracija
Taškų skaičius už teisingą atsakymą: 3
Klausimas #3
80% powierzchni fotografii było pokryte czarnym kolorem i 20% białym kolorem. Fotografia została powiększona trzykrotnie. Jaki procent powierzchni powiększonej fotografii zajmuje biały kolor?
Atsakymų variantai rodomi tik registruotiems sistemos eTest.lt vartotojams. Mokytojo registracija, mokinio registracija
Taškų skaičius už teisingą atsakymą: 3
Klausimas #4
Ile jest par liczb (a, b) spełniających warunki NWD(a, b) — 1, ab = 300 i a > bl
Atsakymų variantai rodomi tik registruotiems sistemos eTest.lt vartotojams. Mokytojo registracija, mokinio registracija
Taškų skaičius už teisingą atsakymą: 3
Klausimas #5
Nos kangura skierowany jest w kierunku punktu X. W kierunku którego punktu będzie skierowany nos kangura, jeśli obróci się o 270° zgodnie z ruchem wskazówek zegara wokól punktu, w którym stoi?
Atsakymų variantai rodomi tik registruotiems sistemos eTest.lt vartotojams. Mokytojo registracija, mokinio registracija
Taškų skaičius už teisingą atsakymą: 3
Klausimas #6
Każdy z dziewięciu kwadratów przedstawionego na rysunku obok diagramu kolorujemy jedną z trzech barw. Na ile różnych sposobów można to zrobić, aby w każdym wierszu i w każdej kolumnie występowały wszystkie trzy kolory?
Atsakymų variantai rodomi tik registruotiems sistemos eTest.lt vartotojams. Mokytojo registracija, mokinio registracija
Taškų skaičius už teisingą atsakymą: 3
Klausimas #7
Na mozaice ułożonej z kwadratowych płytek 2 cm x 2 cm zacieniowano figurę, której brzeg składa się z łuków okręgów (patrz rysunek). Pole zacieniowanej figury równe jest
Atsakymų variantai rodomi tik registruotiems sistemos eTest.lt vartotojams. Mokytojo registracija, mokinio registracija
Taškų skaičius už teisingą atsakymą: 3
Klausimas #8
Wielokąt ABCDEF jest sześciokątem foremnym i jego obwód równy jest 36. Każdy wierzchołek sześciokąta jest środkiem okręgu o promieniu równym połowie długości boku. Obwód zacieniowanej figury równy jest
Atsakymų variantai rodomi tik registruotiems sistemos eTest.lt vartotojams. Mokytojo registracija, mokinio registracija
Taškų skaičius už teisingą atsakymą: 3
Klausimas #9
Piotr rozwiązuje test składający się z 40 pyta. Za każdą poprawną odpowiedź otrzymuje 0,5 punktu, za każdą zaś błędną odpowiedź traci 1 punkt. Piotr odpowiedział na wszystkie pytania i uzyskał łącznie 2 punkty. Na ile pyta odpowiedział poprawnie?
Atsakymų variantai rodomi tik registruotiems sistemos eTest.lt vartotojams. Mokytojo registracija, mokinio registracija
Taškų skaičius už teisingą atsakymą: 3
Klausimas #10
Punkty P i Q są odpowiednio środkami boków AB i EF sześciokąta foremnego ABCDEF. Stosunek pól czworokąta APQF i sześciokąta ABCDEF jest równy
Atsakymų variantai rodomi tik registruotiems sistemos eTest.lt vartotojams. Mokytojo registracija, mokinio registracija
Taškų skaičius už teisingą atsakymą: 3
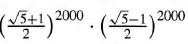
Klausimas #11
Liczba
Atsakymų variantai rodomi tik registruotiems sistemos eTest.lt vartotojams. Mokytojo registracija, mokinio registracija
Taškų skaičius už teisingą atsakymą: 4
Klausimas #12
Na rysunku przedstawiony jest pięciokąt foremny ABCDE i trójkąt równoboczny ABP. Jaka jest miara kąta ВСP ?
Atsakymų variantai rodomi tik registruotiems sistemos eTest.lt vartotojams. Mokytojo registracija, mokinio registracija
Taškų skaičius už teisingą atsakymą: 4
Klausimas #13
W pokoju znajdowała się pewna liczba osób. Ich średni wiek równy był liczbie osób znajdujących się w pokoju. Gdy do pokoju wszedł 29 letni człowiek, okazało się, że nadal średni wiek był równy liczbie osób w pokoju. Ile osób znajdowało się na początku w pokoju?
Atsakymų variantai rodomi tik registruotiems sistemos eTest.lt vartotojams. Mokytojo registracija, mokinio registracija
Taškų skaičius už teisingą atsakymą: 4
Klausimas #14
Wartość liczbowa wyrażenia p(x) = x5+bx+c, gdzie 6 i с są liczbami całkowitymi, dla x = 3 wynosi 0. Liczba с nie może być równa
Atsakymų variantai rodomi tik registruotiems sistemos eTest.lt vartotojams. Mokytojo registracija, mokinio registracija
Taškų skaičius už teisingą atsakymą: 4
Klausimas #15
Czworokąt może mieć cztery kąty proste. Jaka jest największa liczba kątów prostych w ośmiokącie wypukłym?
Atsakymų variantai rodomi tik registruotiems sistemos eTest.lt vartotojams. Mokytojo registracija, mokinio registracija
Taškų skaičius už teisingą atsakymą: 4
Klausimas #16
ABCD jest kwadratem. Wyznaczyć długość odcinka ЕС, jeśli |AF|= 4 i |FB| = 3 (patrz rysunek).
Atsakymų variantai rodomi tik registruotiems sistemos eTest.lt vartotojams. Mokytojo registracija, mokinio registracija
Taškų skaičius už teisingą atsakymą: 5
Klausimas #17
Jan, Piotr i Karol na początku gry mieli żetony w proporcji 1:2:3. Po zakoczeniu gry żetony rozdzielone były pomiędzy nimi w proporcji 4:5:6. Jaki był rezultat gry?
Atsakymų variantai rodomi tik registruotiems sistemos eTest.lt vartotojams. Mokytojo registracija, mokinio registracija
Taškų skaičius už teisingą atsakymą: 4
Klausimas #18
Tomek zbudował prostopadłościan z jednakowych klocków sześciennych. Jego siostra Ania zdemontowała najwyższą warstwę składającą się z 77 klocków. Następnie jego starszy brat Sławek zdemontował warstwę z boku zawierającą 55 klocków. Na koniec jego młodszy brat Jacek zdemontował warstwę z przodu. He klocków pozostało w tak utworzonym prostopadłościanie?
Atsakymų variantai rodomi tik registruotiems sistemos eTest.lt vartotojams. Mokytojo registracija, mokinio registracija
Taškų skaičius už teisingą atsakymą: 4
Klausimas #19
Jaki jest stosunek F1 : F2 pól figur zaznaczonych na rysunku?
Atsakymų variantai rodomi tik registruotiems sistemos eTest.lt vartotojams. Mokytojo registracija, mokinio registracija
Taškų skaičius už teisingą atsakymą: 4
Klausimas #20
Na płaszczyźnie obrano punkty A(-2, -1), B(2, 2) i C(x, 1). Wyznaczyć taką liczbę x, dla której suma \AC\ + \CB\ jest najmniejsza.
Atsakymų variantai rodomi tik registruotiems sistemos eTest.lt vartotojams. Mokytojo registracija, mokinio registracija
Taškų skaičius už teisingą atsakymą: 4
Klausimas #21
Od poniedziałku do środy Marek zawsze kłamie, w pozostałe zaś dni tygodnia mówi prawdę. Pewnego dnia Marek spotkał Marię i powiedział:
1)„Wczoraj kłamałem."
2)„Od pojutrza przez dwa kolejne dni będę kłamał." W jakim dniu Marek spotkał Marię?
Atsakymų variantai rodomi tik registruotiems sistemos eTest.lt vartotojams. Mokytojo registracija, mokinio registracija
Taškų skaičius už teisingą atsakymą: 5
Klausimas #22
Pływając po jeziorze w kształcie koła znalazłem się w miejscu, z którego, aby osiągnąć brzeg płynąc na zachód, wschód, południe, muszę pokonać dystans odpowiednio 20 m, 60 m, 30 m. De metrów (20 60 do brzegu muszę pokonać płynąc w kierunku północnym?Taškas pastoviu greičiu juda kvadrato ABCD kraštinėmis (ABCDABCD ...). Kitas taškas tokiu pat greičiu juda įstrižaine AC ten ir atgal (ACACAC .). Tam tikru momentu abu taškai atsidūrė viršūnėje A. Kuris iš išvardytų teiginių yra teisingas?
Atsakymų variantai rodomi tik registruotiems sistemos eTest.lt vartotojams. Mokytojo registracija, mokinio registracija
Taškų skaičius už teisingą atsakymą: 5
Klausimas #23
Liczba siedmiocyfrowa postaci 6pqpqpq jest podzielna przez 18. Po skreśleniu pierwszej i ostatniej cyfry tej liczby otrzymujemy liczbę pięciocyfrową podzielną przez 6. Jaką cyfrę oznaczono literą pi
Atsakymų variantai rodomi tik registruotiems sistemos eTest.lt vartotojams. Mokytojo registracija, mokinio registracija
Taškų skaičius už teisingą atsakymą: 5
Klausimas #24
Suma rozwiąza równania
|1 - |x| - 5|=4- 1/3|x|
jest równa
Atsakymų variantai rodomi tik registruotiems sistemos eTest.lt vartotojams. Mokytojo registracija, mokinio registracija
Taškų skaičius už teisingą atsakymą: 5
Klausimas #25
Niech Sn = 1- 2 + 3- 4 + 5 + . . . +(-1)n-1n, n ε N. Wówczas S1999 + S2000 jest
Atsakymų variantai rodomi tik registruotiems sistemos eTest.lt vartotojams. Mokytojo registracija, mokinio registracija
Taškų skaičius už teisingą atsakymą: 5
Klausimas #26
Liczby naturalne od 1 do 7 są ukryte pod kartkami A, B, C, D, E, F, G (patrz rysunek). Wiadomo, że sumy liczb będących w wierzchołkach każdego z trzech czworokątów są równe 13. Jaka liczba ukryta jest pod kartą A?
Atsakymų variantai rodomi tik registruotiems sistemos eTest.lt vartotojams. Mokytojo registracija, mokinio registracija
Taškų skaičius už teisingą atsakymą: 5
Klausimas #27
Jeśli promie większego okręgu jest trzy razy większy niż promie mniejszego okręgu, to X równy jest
Atsakymų variantai rodomi tik registruotiems sistemos eTest.lt vartotojams. Mokytojo registracija, mokinio registracija
Taškų skaičius už teisingą atsakymą: 5
Klausimas #28
Kostka sześcienna zbudowana jest z 64 sześcianików o wymiarach 1 x 1 x 1. Z kostki tej usunięto sześcianiki znajdujące się w poziomych i pionowych rzędach, których ślad pokazuje rysunek. Ile kostek pozostało po tej operacji?
Atsakymų variantai rodomi tik registruotiems sistemos eTest.lt vartotojams. Mokytojo registracija, mokinio registracija
Taškų skaičius už teisingą atsakymą: 4
Klausimas #29
Dzieląc liczbę naturalną n przez 7 otrzymujemy resztę 4. Dzieląc liczbę n przez 11 także otrzymujemy resztę 4. Jaka reszta z dzielenia liczby n przez 77 ?
Atsakymų variantai rodomi tik registruotiems sistemos eTest.lt vartotojams. Mokytojo registracija, mokinio registracija
Taškų skaičius už teisingą atsakymą: 5
Klausimas #30
Wszystkie trzy figury pokazują tę samą „piramidę" zbudowaną z drewnianych klocków sześciennych, oglądaną z trzech stron: z przodu, z góry i ze strony lewej.
Z ilu klocków zbudowana jest ta piramida ?
Atsakymų variantai rodomi tik registruotiems sistemos eTest.lt vartotojams. Mokytojo registracija, mokinio registracija
Taškų skaičius už teisingą atsakymą: 5





