Matematikos konkursas "Kengūra" - 1991 - Junioras
Klausimas #1
(0,03)2 lygu:
Atsakymų variantai rodomi tik registruotiems sistemos eTest.lt vartotojams. Mokytojo registracija, mokinio registracija
Taškų skaičius už teisingą atsakymą: 3
Klausimas #2
ABC — lygiašonis trikampis. Kampas A lygus 18°. Kampas B gali būti lygus:
Atsakymų variantai rodomi tik registruotiems sistemos eTest.lt vartotojams. Mokytojo registracija, mokinio registracija
Taškų skaičius už teisingą atsakymą: 3
Klausimas #3
Ponas Jonas planuoja iškilmingai atšvęsti savo gimimo 30000 dienų jubiliejų. Kiek metų jam sukaks po to jubiliejaus artimiausią gimtadienį?
Atsakymų variantai rodomi tik registruotiems sistemos eTest.lt vartotojams. Mokytojo registracija, mokinio registracija
Taškų skaičius už teisingą atsakymą: 3
Klausimas #4
Du trikampiai panašūs su homotetijos (panašumo) koeficientu -A. Tų trikampių plotų santykis gali būti lygus:
Atsakymų variantai rodomi tik registruotiems sistemos eTest.lt vartotojams. Mokytojo registracija, mokinio registracija
Taškų skaičius už teisingą atsakymą: 3
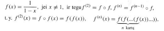
Klausimas #5
Jeigu
Atsakymų variantai rodomi tik registruotiems sistemos eTest.lt vartotojams. Mokytojo registracija, mokinio registracija
Taškų skaičius už teisingą atsakymą: 3
Klausimas #6
Atsakymų variantai rodomi tik registruotiems sistemos eTest.lt vartotojams. Mokytojo registracija, mokinio registracija
Taškų skaičius už teisingą atsakymą: 3
Klausimas #7
Archimedas gyveno:
Atsakymų variantai rodomi tik registruotiems sistemos eTest.lt vartotojams. Mokytojo registracija, mokinio registracija
Taškų skaičius už teisingą atsakymą: 3
Klausimas #8
Dviratininkas dažnai važiuoja iš Sento į Rojalį ir atgal. Į ten jis važiuoja 30 km/h greičiu, o atgal — 20 km/h greičiu. Koks dviratininko vidutinis greitis?
Atsakymų variantai rodomi tik registruotiems sistemos eTest.lt vartotojams. Mokytojo registracija, mokinio registracija
Taškų skaičius už teisingą atsakymą: 3
Klausimas #9
Plokštumoje laisvai pasirenkame lygiagretainį ABC D ir tašką M. Kiek daugiausiai gali būti taškų lygiagretainio ABC D kraštinėse, kurių kiekvieno atstumas iki taško M lygus 5 cm?
Atsakymų variantai rodomi tik registruotiems sistemos eTest.lt vartotojams. Mokytojo registracija, mokinio registracija
Taškų skaičius už teisingą atsakymą: 3
Klausimas #10
R Q ir QP yra kubo gretimų sienų įstrižainės (kaip paveikslėlyje). Kam lygus kampas PQR?
Atsakymų variantai rodomi tik registruotiems sistemos eTest.lt vartotojams. Mokytojo registracija, mokinio registracija
Taškų skaičius už teisingą atsakymą: 3
Klausimas #11
Parašiau knygą apie kengūrų gyvenimą. Knyga turi 972 puslapius, pats juos sunumeravau. Kiek kartų numeruodamas parašiau skaitmenį 7?
Atsakymų variantai rodomi tik registruotiems sistemos eTest.lt vartotojams. Mokytojo registracija, mokinio registracija
Taškų skaičius už teisingą atsakymą: 4
Klausimas #12
Laive yra 31 jūrininkas, kurių amžiaus vidurkis lygus 23 metams. Prie jūrininkų prijungus laivo kapitoną, amžiaus vidurkis padidėtų iki 24 metų. Kiek metų kapitonui?
Atsakymų variantai rodomi tik registruotiems sistemos eTest.lt vartotojams. Mokytojo registracija, mokinio registracija
Taškų skaičius už teisingą atsakymą: 4
Klausimas #13
Norėdamas sutaupyti elektros energijos, namo savininkas padarė tris patobulinimus, kurie vienas po kito name apšildymo išlaidas sumažino 20%, 25% ir 55%. Tai padaręs, jis sutaupė apšildymo išlaidas:
Atsakymų variantai rodomi tik registruotiems sistemos eTest.lt vartotojams. Mokytojo registracija, mokinio registracija
Taškų skaičius už teisingą atsakymą: 4
Klausimas #14
Duota, kad - 2 < x < 1. Todėl:
Atsakymų variantai rodomi tik registruotiems sistemos eTest.lt vartotojams. Mokytojo registracija, mokinio registracija
Taškų skaičius už teisingą atsakymą: 4
Klausimas #15
Šiandien Pauliaus gimtadienis. Jam 21 metai. Kurią savaitės dieną Paulius gimė?
Atsakymų variantai rodomi tik registruotiems sistemos eTest.lt vartotojams. Mokytojo registracija, mokinio registracija
Taškų skaičius už teisingą atsakymą: 4
Klausimas #16
Viena akcija biržoje kainavo 1400 frankų. Nuo gegužės iki birželio akcijos vertė išaugo 10%, o nuo birželio iki liepos ji nukrito 10%. Kiek akcija kainavo liepą?
Atsakymų variantai rodomi tik registruotiems sistemos eTest.lt vartotojams. Mokytojo registracija, mokinio registracija
Taškų skaičius už teisingą atsakymą: 4
Klausimas #17
Kam lygus skritulio, apibrėžto apie kvadratą ABC D, ir skritulio, įbrėžto į tą kvadratą, plotų santykis?
Atsakymų variantai rodomi tik registruotiems sistemos eTest.lt vartotojams. Mokytojo registracija, mokinio registracija
Taškų skaičius už teisingą atsakymą: 4
Klausimas #18
Daugianario (x - l)(x - 2)(x - 3) •(x - 99)(x - 100) koeficientas prie x99 lygus:
Atsakymų variantai rodomi tik registruotiems sistemos eTest.lt vartotojams. Mokytojo registracija, mokinio registracija
Taškų skaičius už teisingą atsakymą: 4
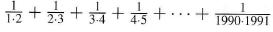
Klausimas #19
Kam lygi suma
Atsakymų variantai rodomi tik registruotiems sistemos eTest.lt vartotojams. Mokytojo registracija, mokinio registracija
Taškų skaičius už teisingą atsakymą: 4
Klausimas #20
Povilas sako Petrui: „Man dabar 3 kartus daugiau metų, negu tu turėjai tada, kai aš turėjau tiek metų, kiek tu turi dabar. Kai būsi mano metų, kartu mums bus 112 metų". Kiek metų Petrui?
Atsakymų variantai rodomi tik registruotiems sistemos eTest.lt vartotojams. Mokytojo registracija, mokinio registracija
Taškų skaičius už teisingą atsakymą: 4
Klausimas #21
Kvadrato ABC D kraštinės ilgis a. Į kvadratą įbrėžti du ketvirčiai apskritimų, kurių centrai atitinkamai yra taškuose A ir B, o spindulys — a. Bendros skritulių dalies plotas lygus:
Atsakymų variantai rodomi tik registruotiems sistemos eTest.lt vartotojams. Mokytojo registracija, mokinio registracija
Taškų skaičius už teisingą atsakymą: 5
Klausimas #22
Kuris iš žemiau nurodytų skaičių negali būti kokio nors iškilojo daugiakampio įstrižainių skaičius?
Atsakymų variantai rodomi tik registruotiems sistemos eTest.lt vartotojams. Mokytojo registracija, mokinio registracija
Taškų skaičius už teisingą atsakymą: 5
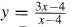
Klausimas #23
Nagrinėkime funkciją
Atsakymų variantai rodomi tik registruotiems sistemos eTest.lt vartotojams. Mokytojo registracija, mokinio registracija
Taškų skaičius už teisingą atsakymą: 5
Klausimas #24
Skruzdėlė ropoja kvadratėlių kraštinėmis taip, p kad užtušuotas kvadratėlis būtų jai iš kairės. Keliauja ji iš taško P į tašką Q trumpiausiu keliu. Kiek yra tokių kelių?
Atsakymų variantai rodomi tik registruotiems sistemos eTest.lt vartotojams. Mokytojo registracija, mokinio registracija
Taškų skaičius už teisingą atsakymą: 5
Klausimas #25
Skaičius 1991 yra palindrominis, t. y. vienodas skaitant iš kairės į dešinę ir atvirkščiai. Kiek yra triženklių palindrominių skaičių, kurie yra sveikojo skaičiaus kvadratai?
Atsakymų variantai rodomi tik registruotiems sistemos eTest.lt vartotojams. Mokytojo registracija, mokinio registracija
Taškų skaičius už teisingą atsakymą: 5
Klausimas #26
Apskritime pažymėta n taškų. Naudodamiesi dviejų spalvų kreidelėmis, jungiame kiekvieną iš tų taškų su kiekvienu iš likusių. Koks yra mažiausias skaičius n, kad bent vieno trikampio visos kraštinės būtų vienos spalvos, nors ir kaip spalvintume jungtis tarp taškų?
Atsakymų variantai rodomi tik registruotiems sistemos eTest.lt vartotojams. Mokytojo registracija, mokinio registracija
Taškų skaičius už teisingą atsakymą: 5
Klausimas #27
Jeigu a + b = 1 ir a2 + b2 = 2, tai a4 + b4 lygu:
Atsakymų variantai rodomi tik registruotiems sistemos eTest.lt vartotojams. Mokytojo registracija, mokinio registracija
Taškų skaičius už teisingą atsakymą: 5
Klausimas #28
tefanija (5) ir Tomas (T) stovi ant apskritos aikštės skersmens A B ir dalija tą skersmenį į tris lygias dalis. Česlovas stovi apskritimo taške C, ir atstumas C S lygus 7 m, o atstumas C T lygus 9 m. Kam lygus atstumas tarp Stefanijos ir Tomo?
Atsakymų variantai rodomi tik registruotiems sistemos eTest.lt vartotojams. Mokytojo registracija, mokinio registracija
Taškų skaičius už teisingą atsakymą: 5
Klausimas #29
Keturi asmenys sėdi ant suolo. Tam tikru momentu jie visi pasikelia nuo suolo, o po kurio laiko vėl susėda. Keliais būdais jie gali susėsti taip, kad nė vienas iš jų neatsidurtų vietoje, kurioje jau sėdėjo prieš tai?
Atsakymų variantai rodomi tik registruotiems sistemos eTest.lt vartotojams. Mokytojo registracija, mokinio registracija
Taškų skaičius už teisingą atsakymą: 5
Klausimas #30
Smėlio krūva yra nupj autinė piramidė, kurios pagrindai stačiakampiai, jų centrus jungia piramidės aukštinė, o šoninės sienos yra lygiašonės trapecijos . Koks yra smėlio krūvos tūris?
Atsakymų variantai rodomi tik registruotiems sistemos eTest.lt vartotojams. Mokytojo registracija, mokinio registracija
Taškų skaičius už teisingą atsakymą: 5





