Matematikos konkursas "Kengūra" - 1992 - Junioras
Klausimas #1
Tūkstantis devyniasdešimt devyni plius vienas lygu:
Atsakymų variantai rodomi tik registruotiems sistemos eTest.lt vartotojams. Mokytojo registracija, mokinio registracija
Taškų skaičius už teisingą atsakymą: 3
Klausimas #2
Lygiakraščio trikampio, kurio kraštinė c, plotas lygus S. Kam lygus plotas lygiakraščio trikampio, kurio kraštinė lygi
Atsakymų variantai rodomi tik registruotiems sistemos eTest.lt vartotojams. Mokytojo registracija, mokinio registracija
Taškų skaičius už teisingą atsakymą: 3
Klausimas #3
Dvejetas, pakeltas dešimtuoju laipsniu, lygus:
Atsakymų variantai rodomi tik registruotiems sistemos eTest.lt vartotojams. Mokytojo registracija, mokinio registracija
Taškų skaičius už teisingą atsakymą: 3
Klausimas #4
Kuri iš žemiau nurodytų figūrų turi daugiau kaip vieną simetrijos centrą?
Atsakymų variantai rodomi tik registruotiems sistemos eTest.lt vartotojams. Mokytojo registracija, mokinio registracija
Taškų skaičius už teisingą atsakymą: 3
Klausimas #5
Kiek daugiausia apskritimų gali liesti tris tas pačias tieses?
Atsakymų variantai rodomi tik registruotiems sistemos eTest.lt vartotojams. Mokytojo registracija, mokinio registracija
Taškų skaičius už teisingą atsakymą: 3
Klausimas #6
Didysis fizikas ir matematikas Niutonas gal būt galėjo susitikti su:
Atsakymų variantai rodomi tik registruotiems sistemos eTest.lt vartotojams. Mokytojo registracija, mokinio registracija
Taškų skaičius už teisingą atsakymą: 3
Klausimas #7
Jeigu
Atsakymų variantai rodomi tik registruotiems sistemos eTest.lt vartotojams. Mokytojo registracija, mokinio registracija
Taškų skaičius už teisingą atsakymą: 3
Klausimas #8
Kuri iš žemiau nurodytų lygybių yra neteisinga?
Atsakymų variantai rodomi tik registruotiems sistemos eTest.lt vartotojams. Mokytojo registracija, mokinio registracija
Taškų skaičius už teisingą atsakymą: 3
Klausimas #9
Du artojai turi suarti lauką. Vienas tai padarytų per 7 valandas, kitas — per 5 valandas. Kiek laiko tai truks, jei jie dirbs kartu?
Atsakymų variantai rodomi tik registruotiems sistemos eTest.lt vartotojams. Mokytojo registracija, mokinio registracija
Taškų skaičius už teisingą atsakymą: 3
Klausimas #10
Kiekviena iš penkių automobilio padangų vienodai atitarnavo važiuojant 20 000 kilometrų. Kiek kilometrų „prisuko" kiekviena iš padangų?
Atsakymų variantai rodomi tik registruotiems sistemos eTest.lt vartotojams. Mokytojo registracija, mokinio registracija
Taškų skaičius už teisingą atsakymą: 3
Klausimas #11
Jeigu x ir y yra realieji skaičiai, tai kuris iš žemiau nurodytų teiginių teisingas?
Atsakymų variantai rodomi tik registruotiems sistemos eTest.lt vartotojams. Mokytojo registracija, mokinio registracija
Taškų skaičius už teisingą atsakymą: 4
Klausimas #12
Vieno licėjaus 14% mokinių mokosi rusų kalbos, 78% mokinių nesimoko nei rusų, nei prancūzų kalbos, 2% mokinių mokosi abiejų minėtų kalbų. Kiek procentų mokinių mokosi prancūzų kalbos?
Atsakymų variantai rodomi tik registruotiems sistemos eTest.lt vartotojams. Mokytojo registracija, mokinio registracija
Taškų skaičius už teisingą atsakymą: 4
Klausimas #13
„Kelinta dabar valanda?" — kažkas paklausė keistuolį. „Iš paros liko vos du trečdaliai to laiko, kuris jau praėjo", atsakė šis. Kelintą tai buvo valandą?
Atsakymų variantai rodomi tik registruotiems sistemos eTest.lt vartotojams. Mokytojo registracija, mokinio registracija
Taškų skaičius už teisingą atsakymą: 4
Klausimas #14
Ant biliardo stalo 2 m x 6 m nuo ilgesniojo krašto vidurio taško 45° kampu to krašto atžvilgiu pradeda riedėti rutulys. Koks bus rutulio atstumas nuo pradinio taško, kai jis 59-tą kartą atsimuš į stalo kraštą?
Atsakymų variantai rodomi tik registruotiems sistemos eTest.lt vartotojams. Mokytojo registracija, mokinio registracija
Taškų skaičius už teisingą atsakymą: 4
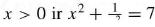
Klausimas #15
Jeigu a, b, c, d — natūralieji skaičiai ir
Atsakymų variantai rodomi tik registruotiems sistemos eTest.lt vartotojams. Mokytojo registracija, mokinio registracija
Taškų skaičius už teisingą atsakymą: 4
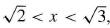
Klausimas #16
Duota, kad
Atsakymų variantai rodomi tik registruotiems sistemos eTest.lt vartotojams. Mokytojo registracija, mokinio registracija
Taškų skaičius už teisingą atsakymą: 4
Klausimas #17
Kam lygi skaičiaus N = 1092 — 92 skaitmenų suma?
Atsakymų variantai rodomi tik registruotiems sistemos eTest.lt vartotojams. Mokytojo registracija, mokinio registracija
Taškų skaičius už teisingą atsakymą: 4
Klausimas #18
Duota, kad
Atsakymų variantai rodomi tik registruotiems sistemos eTest.lt vartotojams. Mokytojo registracija, mokinio registracija
Taškų skaičius už teisingą atsakymą: 4
Klausimas #19
Tiesių 3x + by + c = 0 ir cx - 2y + 12 = 0 grafikai sutampa. Kiek yra porų {b, c), pasižyminčių tokia savybe?
Atsakymų variantai rodomi tik registruotiems sistemos eTest.lt vartotojams. Mokytojo registracija, mokinio registracija
Taškų skaičius už teisingą atsakymą: 4
Klausimas #20
Magiškieji 3 x 3 kvadratai
Atsakymų variantai rodomi tik registruotiems sistemos eTest.lt vartotojams. Mokytojo registracija, mokinio registracija
Taškų skaičius už teisingą atsakymą: 4
Klausimas #21
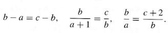
Trys skaičiai a, b, c tenkina lygybes:
Kam lygus skaičius b?
Atsakymų variantai rodomi tik registruotiems sistemos eTest.lt vartotojams. Mokytojo registracija, mokinio registracija
Taškų skaičius už teisingą atsakymą: 5
Klausimas #22
Paveikslėlyje nurodyti keturių trikampių plotai. Kam lygus penktojo trikampio plotas x?
Atsakymų variantai rodomi tik registruotiems sistemos eTest.lt vartotojams. Mokytojo registracija, mokinio registracija
Taškų skaičius už teisingą atsakymą: 5
Klausimas #23
Ant penkių elektros laidų tupi kregždės, ant kiekvieno mažiausiai viena. Tik ant penkto (aukščiausio) ir trečio laido tupi tiek pat kregždžių. Jeigu nuo ketvirto laido ant trečio perskristų trys kregždės, tai ant tų dviejų laidų būtų po tiek pat kregždžių. Jeigu viena kregždė perskristų nuo trečio laido ant aukščiausio, tai ant jo tupėtų dukart daugiau kregždžių nei ant trečio. Jeigu keturios kregždės nuskristų nuo ketvirto laido, tai ant jo tupėtų tiek pat kregždžių, kiek kartu tupi ant pirmo ir antro laidų. Mažiausiai kregždžių tupi ant žemiausio (pirmo) laido. Kiek jų tupi ant antro laido?
Atsakymų variantai rodomi tik registruotiems sistemos eTest.lt vartotojams. Mokytojo registracija, mokinio registracija
Taškų skaičius už teisingą atsakymą: 5
Klausimas #24
Du kvadratai, kurių plotai lygūs S ir Q, padėti kaip paveikslėlyje. Kirtimosi taškai kvadrato ABC D (jo plotas 5) kiekvieną kraštinę dalija į tris lygias dalis. Kuris iš žemiau išvardytų teiginių teisingas?
Atsakymų variantai rodomi tik registruotiems sistemos eTest.lt vartotojams. Mokytojo registracija, mokinio registracija
Taškų skaičius už teisingą atsakymą: 5
Klausimas #25
Skaičiai a, b, c, d yra tokie, kad trečiojo laipsnio šaknis iš abc lygi 4, o ketvirtojo laipsnio šaknis iš abcd lygi
Atsakymų variantai rodomi tik registruotiems sistemos eTest.lt vartotojams. Mokytojo registracija, mokinio registracija
Taškų skaičius už teisingą atsakymą: 5
Klausimas #26
Lygtis ||x — 2| — l| =a turi lygiai tris šaknis. Skaičius a lygus:
Atsakymų variantai rodomi tik registruotiems sistemos eTest.lt vartotojams. Mokytojo registracija, mokinio registracija
Taškų skaičius už teisingą atsakymą: 5
Klausimas #27
Duota, kad
Atsakymų variantai rodomi tik registruotiems sistemos eTest.lt vartotojams. Mokytojo registracija, mokinio registracija
Taškų skaičius už teisingą atsakymą: 5
Klausimas #28
Apskritimo C centras O, o spindulys 2. Jo viduje yra trys apskritimai, kurie liečia vienas kitą ir apskritimą C. Du iš tų apskritimų eina per tašką O. Kam lygus trečiojo apskritimo spindulys?
Atsakymų variantai rodomi tik registruotiems sistemos eTest.lt vartotojams. Mokytojo registracija, mokinio registracija
Taškų skaičius už teisingą atsakymą: 5
Klausimas #29
Sveikasis skaičius vadinamas trikampiu, jeigu jis lygus natūraliųjų skaičių nuo 1 iki n sumai (pavyzdžiui, 1 = 1,3 = 1 + 2, 6 = 1+2 + 3, 10 = 1+2 + 3+4 yra trikampiai skaičiai). Kada natūraliojo skaičiaus kvadratas K yra trikampis skaičius?
Atsakymų variantai rodomi tik registruotiems sistemos eTest.lt vartotojams. Mokytojo registracija, mokinio registracija
Taškų skaičius už teisingą atsakymą: 5
Klausimas #30
Kubo briaunos ilgis lygus
Atsakymų variantai rodomi tik registruotiems sistemos eTest.lt vartotojams. Mokytojo registracija, mokinio registracija
Taškų skaičius už teisingą atsakymą: 5





