Matematikos konkursas "Kengūra" - 1993 - Junioras
Klausimas #1
Kam lygi skaičiaus 1000 pusės pusė?
Atsakymų variantai rodomi tik registruotiems sistemos eTest.lt vartotojams. Mokytojo registracija, mokinio registracija
Taškų skaičius už teisingą atsakymą: 1
Klausimas #2
Kam lygu 99 - 97 + 95 - 93 + • • • + 3 - 1?
Atsakymų variantai rodomi tik registruotiems sistemos eTest.lt vartotojams. Mokytojo registracija, mokinio registracija
Taškų skaičius už teisingą atsakymą: 1
Klausimas #3
Kuris iš skaičių didžiausias?
Atsakymų variantai rodomi tik registruotiems sistemos eTest.lt vartotojams. Mokytojo registracija, mokinio registracija
Taškų skaičius už teisingą atsakymą: 1
Klausimas #4
Į kiek sričių plokštumą dalija trys tiesės, kurių kiekvienos dvi kertasi?
Atsakymų variantai rodomi tik registruotiems sistemos eTest.lt vartotojams. Mokytojo registracija, mokinio registracija
Taškų skaičius už teisingą atsakymą: 1
Klausimas #5
Tėvui 50 metų, jis turi sūnų ir dukterį. Sūnus už dukterį vyresnis 4 metais. Po 8 metų tėvo amžius bus lygus jo abiejų vaikų amžių sumai. Kiek metų sūnui?
Atsakymų variantai rodomi tik registruotiems sistemos eTest.lt vartotojams. Mokytojo registracija, mokinio registracija
Taškų skaičius už teisingą atsakymą: 1
Klausimas #6
Funkcija f(x) = x2 + 2x + 1:
Atsakymų variantai rodomi tik registruotiems sistemos eTest.lt vartotojams. Mokytojo registracija, mokinio registracija
Taškų skaičius už teisingą atsakymą: 1
Klausimas #7
Žemė skrieja aplink Saulę apskrita trajektorija ir nutolusi 150 min. km nuo Saulės. Kokį atstumą Žemė nuskrieja per 1 sekundę (1 para = 86400 sekundžių)?
Atsakymų variantai rodomi tik registruotiems sistemos eTest.lt vartotojams. Mokytojo registracija, mokinio registracija
Taškų skaičius už teisingą atsakymą: 1
Klausimas #8
Intervalų [-5; -2], (-3; 1], [0; 1] sąjunga yra:
Atsakymų variantai rodomi tik registruotiems sistemos eTest.lt vartotojams. Mokytojo registracija, mokinio registracija
Taškų skaičius už teisingą atsakymą: 1
Klausimas #9
Vieną mėnesį trys sekmadieniai išpuolė lyginėmis mėnesio dienomis. Kokia savaitės diena buvo to mėnesio dvidešimtoji?
Atsakymų variantai rodomi tik registruotiems sistemos eTest.lt vartotojams. Mokytojo registracija, mokinio registracija
Taškų skaičius už teisingą atsakymą: 1
Klausimas #10
Kuriais metais kūrė garsusis Prancūzijos revoliucijos laikų matematikas Da-lamberas (D'Alembert)?
Atsakymų variantai rodomi tik registruotiems sistemos eTest.lt vartotojams. Mokytojo registracija, mokinio registracija
Taškų skaičius už teisingą atsakymą: 1
Klausimas #11
Jeigu kiekvienam 3 taškų klausimui skirsi po 1 min 30 s, o kiekvienam 4 taškų klausimui — po 2 min 30 s, tai kiek tau liks laiko kiekvienam 5 taškų klausimui?
Atsakymų variantai rodomi tik registruotiems sistemos eTest.lt vartotojams. Mokytojo registracija, mokinio registracija
Taškų skaičius už teisingą atsakymą: 1
Klausimas #12
Koks yra trikampis, kurio viršūnės — taškai (1; 2), (5; 0) ir (—1; —2)?
Atsakymų variantai rodomi tik registruotiems sistemos eTest.lt vartotojams. Mokytojo registracija, mokinio registracija
Taškų skaičius už teisingą atsakymą: 1
Klausimas #13
Kempinge Paulius (taškas P) gyvena netoli Virginijos (taškas V). Kiekvieną rytą ją aplanko prieš tai prisėmęs iš upės jai kibirą vandens. Kiekvieną iš penkių kartų jis sėmė vandenį vis kitame taške R. Kuris iš jo maršrutų trumpiausias?
Atsakymų variantai rodomi tik registruotiems sistemos eTest.lt vartotojams. Mokytojo registracija, mokinio registracija
Taškų skaičius už teisingą atsakymą: 1
Klausimas #14
Duota, kad jc = 3,y = lirz = 2, taigi x = y + z. Kuriame pertvarkymų etape padaryta klaida?
Atsakymų variantai rodomi tik registruotiems sistemos eTest.lt vartotojams. Mokytojo registracija, mokinio registracija
Taškų skaičius už teisingą atsakymą: 1
Klausimas #15
Ritinio pagrindas — skritulys, o aukštis lygus 3 m. Jo tūris, išreikštas kubiniais metrais, sutampa su jo viso paviršiaus plotu, išreikštu kvadratiniais metrais. Koks ritinio pagrindo spindulys (metrais)?
Atsakymų variantai rodomi tik registruotiems sistemos eTest.lt vartotojams. Mokytojo registracija, mokinio registracija
Taškų skaičius už teisingą atsakymą: 1
Klausimas #16
Dvi tiesės, liečiančios apskritimą taškuose Z ir Y, kertasi taške W. Trečia tiesė, liečianti tą apskritimą taške Q, kerta atkarpą WZ taške P, o atkarpą WY taške R. Duota, kad WZ = 20. Kam lygus trikampio WPR perimetras?
Atsakymų variantai rodomi tik registruotiems sistemos eTest.lt vartotojams. Mokytojo registracija, mokinio registracija
Taškų skaičius už teisingą atsakymą: 1
Klausimas #17
Sirakūzų pliažo smėlio smiltelės labai smulkios — į 1 mm3 telpa 10 smiltelių. 50 m pločio ir 2 km ilgio pliažo smėlio sluoksnio gylis yra 1 m. Kiek smiltelių yra pliaže?
Atsakymų variantai rodomi tik registruotiems sistemos eTest.lt vartotojams. Mokytojo registracija, mokinio registracija
Taškų skaičius už teisingą atsakymą: 1
Klausimas #18
Rombo kraštinė lygi a, o vieno iš jo kampų didumas yra 60°. Stačiojo ritinio pagrindas įbrėžtas į tą rombą, ritinio aukštinė lygi 3a. Kam lygus ritinio tūris?
Atsakymų variantai rodomi tik registruotiems sistemos eTest.lt vartotojams. Mokytojo registracija, mokinio registracija
Taškų skaičius už teisingą atsakymą: 1
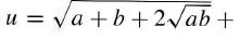
Klausimas #19
Duota, kad a ir ž> yra teigiami, a > b. Pažymėkime
.jpg)
Atsakymų variantai rodomi tik registruotiems sistemos eTest.lt vartotojams. Mokytojo registracija, mokinio registracija
Taškų skaičius už teisingą atsakymą: 1
Klausimas #20
Nerdamas savo tinklą, voras tvėrė vis didesnius taisyklinguosius 30-kampius. Iš viso jis nunėrė 38 tokius daugiakampius. Mažiausią jų galima įbrėžti į 3 cm spindulio apskritimą, o didžiausią — į 18 cm spindulio apskritimą. Koks apytiksliai yra tinklo ilgis?
Atsakymų variantai rodomi tik registruotiems sistemos eTest.lt vartotojams. Mokytojo registracija, mokinio registracija
Taškų skaičius už teisingą atsakymą: 1
Klausimas #21
Padidinęs greitį 10 km/h, traukinys trasoje sutaupo 40 minučių. Sumažinęs greitį 10 km/h, traukinys praranda 1 valandą. Koks trasos ilgis?
Atsakymų variantai rodomi tik registruotiems sistemos eTest.lt vartotojams. Mokytojo registracija, mokinio registracija
Taškų skaičius už teisingą atsakymą: 1
Klausimas #22
Kuris iš žemiau išvardytų skaičių nėra lygus ?
Atsakymų variantai rodomi tik registruotiems sistemos eTest.lt vartotojams. Mokytojo registracija, mokinio registracija
Taškų skaičius už teisingą atsakymą: 1
Klausimas #23
XYZ — lygiakraštis trikampis, į jį įbrėžtas apskritimas liečia dvi jo kraštines taškuose A ir B. To apkritimo lanko AB ilgis lygus 1. Kam lygus trikampio XYZ perimetras?
Atsakymų variantai rodomi tik registruotiems sistemos eTest.lt vartotojams. Mokytojo registracija, mokinio registracija
Taškų skaičius už teisingą atsakymą: 1
Klausimas #24
Realusis skaičius k yra didžiausias skaičius, turintis tokią savybę: bet kuriems teigiamiesiems skaičiams a ir b, tenkinantiems lygybę a + b = 1, teisinga nelygybė
Atsakymų variantai rodomi tik registruotiems sistemos eTest.lt vartotojams. Mokytojo registracija, mokinio registracija
Taškų skaičius už teisingą atsakymą: 1
Klausimas #25
Iškilasis daugiakampis turi 119 įstrižainių. Kiek jis turi kraštinių?
Atsakymų variantai rodomi tik registruotiems sistemos eTest.lt vartotojams. Mokytojo registracija, mokinio registracija
Taškų skaičius už teisingą atsakymą: 1
Klausimas #26
Yra du druskos rūgšties tirpalai, kurių koncentracija yra atitinkamai 5% ir 12%. Kokiu santykiu juos reikia sumaišyti, kad gautume 9% koncentracijos tirpalą?
Atsakymų variantai rodomi tik registruotiems sistemos eTest.lt vartotojams. Mokytojo registracija, mokinio registracija
Taškų skaičius už teisingą atsakymą: 1
Klausimas #27
Kuri iš pavaizduotų kreivių yra funkcijos
Atsakymų variantai rodomi tik registruotiems sistemos eTest.lt vartotojams. Mokytojo registracija, mokinio registracija
Taškų skaičius už teisingą atsakymą: 1
Klausimas #28
Kubo ir plokštumos sankirta niekada negali buti:
Atsakymų variantai rodomi tik registruotiems sistemos eTest.lt vartotojams. Mokytojo registracija, mokinio registracija
Taškų skaičius už teisingą atsakymą: 1
Klausimas #29
Pažymėkime raide S aibę tokių lygiakraščio trikampio vidaus taškų, kurių atstumų iki trikampio kraštinių suma yra mažiausia. Aibę S sudaro:
Atsakymų variantai rodomi tik registruotiems sistemos eTest.lt vartotojams. Mokytojo registracija, mokinio registracija
Taškų skaičius už teisingą atsakymą: 1
Klausimas #30
Mūrininkas dirba iškasoje, kurios plotis AB = 6m. Kopėčios AC ir B D kertasi 3 m aukštyje (E F = 3 m). Kopėčių AC ilgis yra 8 m. Koks kopėčių B D ilgis?
Atsakymų variantai rodomi tik registruotiems sistemos eTest.lt vartotojams. Mokytojo registracija, mokinio registracija
Taškų skaičius už teisingą atsakymą: 1





