Matematikos konkursas "Kengūra" - 1994 - Bičiulis
Klausimas #1
Kengūros konkursas tęsiasi 1 valandą ir 15 minučių. Kiek tai yra minučių?
Atsakymų variantai rodomi tik registruotiems sistemos eTest.lt vartotojams. Mokytojo registracija, mokinio registracija
Taškų skaičius už teisingą atsakymą: 3
Klausimas #2
Trečdalis skaičiaus 6 yra:
Atsakymų variantai rodomi tik registruotiems sistemos eTest.lt vartotojams. Mokytojo registracija, mokinio registracija
Taškų skaičius už teisingą atsakymą: 3
Klausimas #3
Trys mažos kengūrėlės kartu ėjo į 9 kilometrų žygį. Kiek kilometrų įveikė kiekviena iš jų?
Atsakymų variantai rodomi tik registruotiems sistemos eTest.lt vartotojams. Mokytojo registracija, mokinio registracija
Taškų skaičius už teisingą atsakymą: 3
Klausimas #4
Verdant 1,5 kg uogienės sunaudota 1 kg žemuogių ir 1 kg cukraus. Kiek kilogramų žemuogių reikia nupirkti, norint išvirti 6 kg uogienės?
Atsakymų variantai rodomi tik registruotiems sistemos eTest.lt vartotojams. Mokytojo registracija, mokinio registracija
Taškų skaičius už teisingą atsakymą: 3
Klausimas #5
Šimtą padauginę iš trijų tūkstančių trijų šimtų trylikos, gauname:
Atsakymų variantai rodomi tik registruotiems sistemos eTest.lt vartotojams. Mokytojo registracija, mokinio registracija
Taškų skaičius už teisingą atsakymą: 3
Klausimas #6
Suskaičiuokite, kam lygu
Atsakymų variantai rodomi tik registruotiems sistemos eTest.lt vartotojams. Mokytojo registracija, mokinio registracija
Taškų skaičius už teisingą atsakymą: 3
Klausimas #7
Kiek reikia 55 vietų autobusų pervežti 315 žmonių?
Atsakymų variantai rodomi tik registruotiems sistemos eTest.lt vartotojams. Mokytojo registracija, mokinio registracija
Taškų skaičius už teisingą atsakymą: 3
Klausimas #8
Sunkiausias žvėris yra sveriantis:
Atsakymų variantai rodomi tik registruotiems sistemos eTest.lt vartotojams. Mokytojo registracija, mokinio registracija
Taškų skaičius už teisingą atsakymą: 3
Klausimas #9
Koks yra užtušuotos srities plotas?
Atsakymų variantai rodomi tik registruotiems sistemos eTest.lt vartotojams. Mokytojo registracija, mokinio registracija
Taškų skaičius už teisingą atsakymą: 3
Klausimas #10
Didžiuliam omletui iškepti panaudoti 6 tuzinai pakuočių, turinčių po tuziną kiaušinių. Iš kiek kiaušinių pagamintas šis omletas?
Atsakymų variantai rodomi tik registruotiems sistemos eTest.lt vartotojams. Mokytojo registracija, mokinio registracija
Taškų skaičius už teisingą atsakymą: 3
Klausimas #11
Kuris iš užrašų turi dvi simetrijos ašis?
Atsakymų variantai rodomi tik registruotiems sistemos eTest.lt vartotojams. Mokytojo registracija, mokinio registracija
Taškų skaičius už teisingą atsakymą: 4
Klausimas #12
Jeigu 4 cm aukščio prancūziškas pyragas (vadinamas millefeuille, arba lietuviškai tūkstantlapiu ) iš tikrųjų būtų sudarytas iš 1000 plonų lapelių, tai kiekvieno lapelio storis būtų lygus:
Atsakymų variantai rodomi tik registruotiems sistemos eTest.lt vartotojams. Mokytojo registracija, mokinio registracija
Taškų skaičius už teisingą atsakymą: 4
Klausimas #13
Lygiašonio trikampio aukštinė lygi 1, o pagrindo ilgis lygus 2. Kampas a lygus:
Atsakymų variantai rodomi tik registruotiems sistemos eTest.lt vartotojams. Mokytojo registracija, mokinio registracija
Taškų skaičius už teisingą atsakymą: 4
Klausimas #14
Į kiekvieną kvadratėlį įrašykite skaičių, lygų skirtumui skaičių, esančių dviejuose žemesniuose kvadratėliuose. Koks skaičius bus viršūnėje?
Atsakymų variantai rodomi tik registruotiems sistemos eTest.lt vartotojams. Mokytojo registracija, mokinio registracija
Taškų skaičius už teisingą atsakymą: 4
Klausimas #15
Stačiakampio gretasienio pagrindas yra 10cmxl6cm dydžio stačiakampis. Visų jo briaunų ilgių suma yra 180 cm. Kam lygi jo aukštinė?
Atsakymų variantai rodomi tik registruotiems sistemos eTest.lt vartotojams. Mokytojo registracija, mokinio registracija
Taškų skaičius už teisingą atsakymą: 4
Klausimas #16
Penki milijardai Žemės gyventojų, susiimdami už rankų, sudaro grandinę.
Kiekvieno žmogaus ištiestų rankų ilgis yra 1,5 m, o Žemės rutulio spindulys — 6 400 km. Kiek kartų ši grandinė apjuos Žemės rutulį?
Atsakymų variantai rodomi tik registruotiems sistemos eTest.lt vartotojams. Mokytojo registracija, mokinio registracija
Taškų skaičius už teisingą atsakymą: 4
Klausimas #17
Trys tiesės kertasi taip, kaip parodyta paveikslėlyje. Kam lygus kampas x?
Atsakymų variantai rodomi tik registruotiems sistemos eTest.lt vartotojams. Mokytojo registracija, mokinio registracija
Taškų skaičius už teisingą atsakymą: 4
Klausimas #18
Tam tikras kristalas yra prizmės formos ir turi 27 briaunas. Kiek jis turi viršūnių?
Atsakymų variantai rodomi tik registruotiems sistemos eTest.lt vartotojams. Mokytojo registracija, mokinio registracija
Taškų skaičius už teisingą atsakymą: 4
Klausimas #19
Kiškis bėga 35 kartus greičiau negu vėžlys, kuriam varžybų trasą įveikti reikia 2 valandų ir 20 minučių. Kiek laiko anksčiau turi startuoti vėžlys, kad jie abu atbėgtų į finišą kartu?
Atsakymų variantai rodomi tik registruotiems sistemos eTest.lt vartotojams. Mokytojo registracija, mokinio registracija
Taškų skaičius už teisingą atsakymą: 4
Klausimas #20
50 lempučių, kiekviena po 100 W, šviečia 12 valandų. Viena kilovatvalandė kainuoja 0,50 franko. Kiek kainuoja apšvietimas?
Atsakymų variantai rodomi tik registruotiems sistemos eTest.lt vartotojams. Mokytojo registracija, mokinio registracija
Taškų skaičius už teisingą atsakymą: 4
Klausimas #21
Didžiojo kvadrato plotas lygus 1. Koks yra mažojo užtušuoto kvadrato plotas?
Atsakymų variantai rodomi tik registruotiems sistemos eTest.lt vartotojams. Mokytojo registracija, mokinio registracija
Taškų skaičius už teisingą atsakymą: 5
Klausimas #22
Kengūra ir triušis nusprendė parungtyniauti. Kengūros šuolis yra 4 kartus ilgesnis už triušio šuolį, tačiau per laiką, kai triušis atlieka 10 šuolių, kengūra padaro vos 3. Sutarta, kad triušis, kaip silpnesnis varžovas, startuos pirmas. Kengūra startavo tuo momentu, kai triušis atliko 20 šuolių. Po kelių šuolių kengūra susilygins su triušiu?
Atsakymų variantai rodomi tik registruotiems sistemos eTest.lt vartotojams. Mokytojo registracija, mokinio registracija
Taškų skaičius už teisingą atsakymą: 5
Klausimas #23
Koks yra užtušuoto trikampio plotas, išreikštas kvadratėliais?
Atsakymų variantai rodomi tik registruotiems sistemos eTest.lt vartotojams. Mokytojo registracija, mokinio registracija
Taškų skaičius už teisingą atsakymą: 5
Klausimas #24
Mokykloje Kengūros dalyvių skaičius, palyginti su praėjusiais metais, padidėjo 32%. Praėjusiais metais mergaičių buvo 55%, o šiais metais — tik 50%. Palyginti su praėjusiais metais, mergaičių skaičius:
Atsakymų variantai rodomi tik registruotiems sistemos eTest.lt vartotojams. Mokytojo registracija, mokinio registracija
Taškų skaičius už teisingą atsakymą: 5
Klausimas #25
Kvadrato formos kengūrų rezervatas, kurio plotas yra 40 000 km2, žemėlapyje pavaizduotas masteliu 1:1 000 000. Atstumas žemėlapyje tarp labiausiai nutolusių rezervato taškų lygus:
Atsakymų variantai rodomi tik registruotiems sistemos eTest.lt vartotojams. Mokytojo registracija, mokinio registracija
Taškų skaičius už teisingą atsakymą: 5
Klausimas #26
Vakar klasėje nebuvo 12,5% mokinių. Šiandien nėra dar 1 mokinio, bet esančių mokinių yra 5 kartus daugiau negu nesančių. Kiek šioje klasėje yra mokinių?
Atsakymų variantai rodomi tik registruotiems sistemos eTest.lt vartotojams. Mokytojo registracija, mokinio registracija
Taškų skaičius už teisingą atsakymą: 5
Klausimas #27
Pranukas surašė iš eilės visus sveikuosius skaičius nuo 1 iki 1994. Kiek kartų jis parašė skaitmenį 0?
Atsakymų variantai rodomi tik registruotiems sistemos eTest.lt vartotojams. Mokytojo registracija, mokinio registracija
Taškų skaičius už teisingą atsakymą: 5
Klausimas #28
Man 10 metų. Pirmadienį tėtis man pažadėjo 1 franką, kitą pirmadienį — 2 frankus, dar po savaitės pirmadienį — 3 frankus ir 1.1. Kiek frankų turėsiu per 18-ąjį gimtadienį?
Atsakymų variantai rodomi tik registruotiems sistemos eTest.lt vartotojams. Mokytojo registracija, mokinio registracija
Taškų skaičius už teisingą atsakymą: 5
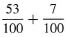
Klausimas #29
Skaičių
užrašius dešimtaine trupmena, 7000-asis skaitmuo po kablelio yra:
Atsakymų variantai rodomi tik registruotiems sistemos eTest.lt vartotojams. Mokytojo registracija, mokinio registracija
Taškų skaičius už teisingą atsakymą: 5
Klausimas #30
Skruzdėlė turi kuo greičiau įveikti kelią iš taško A į tašką B kvadratinio tinklo kraštinėmis, bet išvengti pilkojo kvadratėlio kraštinių ir viršūnių. Kiek yra galimų kelių?
Atsakymų variantai rodomi tik registruotiems sistemos eTest.lt vartotojams. Mokytojo registracija, mokinio registracija
Taškų skaičius už teisingą atsakymą: 5





