Matematikos konkursas "Kengūra" - 1996 - Junioras
Klausimas #1
Iš kelių skaitmenų susideda skaičiaus 212 • 58 dešimtainis užrašas?
Atsakymų variantai rodomi tik registruotiems sistemos eTest.lt vartotojams. Mokytojo registracija, mokinio registracija
Taškų skaičius už teisingą atsakymą: 3
Klausimas #2
Kuris iš nurodytų skaičių didžiausias?
Atsakymų variantai rodomi tik registruotiems sistemos eTest.lt vartotojams. Mokytojo registracija, mokinio registracija
Taškų skaičius už teisingą atsakymą: 3
Klausimas #3
Kuri išklotinė atitinka paveikslėlyje pavaizduotą kubą?
Atsakymų variantai rodomi tik registruotiems sistemos eTest.lt vartotojams. Mokytojo registracija, mokinio registracija
Taškų skaičius už teisingą atsakymą: 3
Klausimas #4
Pardavėjas pakėlė prekės kainą 10%, vėliau dar 5%. Matydamas kė parduodama prastai, iš pradžių sumažino jos kainą 5%, vėliau Palyginkite galutinę ir pradinę prekės kainas.
Atsakymų variantai rodomi tik registruotiems sistemos eTest.lt vartotojams. Mokytojo registracija, mokinio registracija
Taškų skaičius už teisingą atsakymą: 3
Klausimas #5
Ant stačioj o trikampio kraštinių nubrėžti pusapskritimiai. Jų plotai pažymėti S1, S2, S3. Kuris teiginys teisingas?
Atsakymų variantai rodomi tik registruotiems sistemos eTest.lt vartotojams. Mokytojo registracija, mokinio registracija
Taškų skaičius už teisingą atsakymą: 3
Klausimas #6
Keliais budais galime iškeisti smulkesniais 5 Lt, jei turime tik 1 Lt, 50 ct ir lOct monetų?
Atsakymų variantai rodomi tik registruotiems sistemos eTest.lt vartotojams. Mokytojo registracija, mokinio registracija
Taškų skaičius už teisingą atsakymą: 3
Klausimas #7
Kiek sveikųjų sprendinių turi nelygybė |2— U|| ≤5?
Atsakymų variantai rodomi tik registruotiems sistemos eTest.lt vartotojams. Mokytojo registracija, mokinio registracija
Taškų skaičius už teisingą atsakymą: 3
Klausimas #8
Paveikslėlyje pavaizduotos formos dangčių, dengiančių gatvių kanalizacijos šaltinių angas. Angos turi tą pačią formą, tik truputį mažesnės. Dangčiai turi būti tokie, kad net nevykusiai atidengiant šulinį dangtis negalėtų į jį įvirsti. Kuris dangtis tenkina minėtą sąlygą?
Atsakymų variantai rodomi tik registruotiems sistemos eTest.lt vartotojams. Mokytojo registracija, mokinio registracija
Taškų skaičius už teisingą atsakymą: 3
Klausimas #9
Iškilojo n-kampio kampų suma lygi:
Atsakymų variantai rodomi tik registruotiems sistemos eTest.lt vartotojams. Mokytojo registracija, mokinio registracija
Taškų skaičius už teisingą atsakymą: 3
Klausimas #10
Kuris iš nurodytų trejetų negali reikšti trikampio kraštinių ilgių?
Atsakymų variantai rodomi tik registruotiems sistemos eTest.lt vartotojams. Mokytojo registracija, mokinio registracija
Taškų skaičius už teisingą atsakymą: 3
Klausimas #11
Dabar vieno miesto gyventojų skaičius yra 100000 ir kasmet padidėja 10%. Po dešimties metų gyventojų skaičius apytiksliai bus lygus:
Atsakymų variantai rodomi tik registruotiems sistemos eTest.lt vartotojams. Mokytojo registracija, mokinio registracija
Taškų skaičius už teisingą atsakymą: 4
Klausimas #12
Kubo briauna lygi 3 cm. Iš jo išpjauti 3 kanalai, kurių skersinis pjūvis — kvadratas su kraštine 1 cm. Koks yra gauto kūno tūris (cm3)?
Atsakymų variantai rodomi tik registruotiems sistemos eTest.lt vartotojams. Mokytojo registracija, mokinio registracija
Taškų skaičius už teisingą atsakymą: 4
Klausimas #13
Sakykime, kad a ir b — neneigiamieji skaičiai. Lygybė
Atsakymų variantai rodomi tik registruotiems sistemos eTest.lt vartotojams. Mokytojo registracija, mokinio registracija
Taškų skaičius už teisingą atsakymą: 4
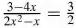
Klausimas #14
Jeigu
Atsakymų variantai rodomi tik registruotiems sistemos eTest.lt vartotojams. Mokytojo registracija, mokinio registracija
Taškų skaičius už teisingą atsakymą: 4
Klausimas #15
Skruzdėlė ruošiasi užlipti ant dėžutės viršaus. Dėžutė yra ritinys, kurio aukštinė a, o pagrindo skersmuo b. Bet lipdama skruzdėlė nori įsitikinti, ar arti nėra skruzdėdos, todėl keliaudama į viršų taip pat turi apeiti dėžutę aplinkui. Koks trumpiausio skruzdėlės kelio ilgis?
Atsakymų variantai rodomi tik registruotiems sistemos eTest.lt vartotojams. Mokytojo registracija, mokinio registracija
Taškų skaičius už teisingą atsakymą: 4
Klausimas #16
Ar trigubo skaičiaus pusės kubas lygus trigubai to skaičiaus kubo pusei?
Atsakymų variantai rodomi tik registruotiems sistemos eTest.lt vartotojams. Mokytojo registracija, mokinio registracija
Taškų skaičius už teisingą atsakymą: 4
Klausimas #17
Su kuria parametro p reikšme lygtys {p + l)x = 3 ir p(x - 1) = 1 + p turi tą patį sprendinį?
Atsakymų variantai rodomi tik registruotiems sistemos eTest.lt vartotojams. Mokytojo registracija, mokinio registracija
Taškų skaičius už teisingą atsakymą: 4
Klausimas #18
Keliais būdais taisyklingąjį tetraedrą, kurio viršūnės nuspalvintos skirtingomis spalvomis, galima įdėti į dėžutę ABC D, turinčią tokią pat taisyklingojo tetraedro formą?
Atsakymų variantai rodomi tik registruotiems sistemos eTest.lt vartotojams. Mokytojo registracija, mokinio registracija
Taškų skaičius už teisingą atsakymą: 4
Klausimas #19
Operacija • visų skaičių aibėje yra apibrėžta formule a•b = ab + 2a - b. Kuriam skaičiui b teisinga lygybė 3•5 = 2•b?
Atsakymų variantai rodomi tik registruotiems sistemos eTest.lt vartotojams. Mokytojo registracija, mokinio registracija
Taškų skaičius už teisingą atsakymą: 4
Klausimas #20
Kuriam skaičiui iš aibės {1,2, 3, 4, 5} neteisingas lygiai vienas iš teiginių:
x — sveikasis skaičius;
x2 — 3x — neigiamasis skaičius;
Atsakymų variantai rodomi tik registruotiems sistemos eTest.lt vartotojams. Mokytojo registracija, mokinio registracija
Taškų skaičius už teisingą atsakymą: 4
Klausimas #21
Kam lygu 10! (dešimt faktorialas) sekundžių?
Atsakymų variantai rodomi tik registruotiems sistemos eTest.lt vartotojams. Mokytojo registracija, mokinio registracija
Taškų skaičius už teisingą atsakymą: 5
Klausimas #22
Skaičiai a, b ir c atitinkamai proporcingi skaičiams 1, 2 ir 4. Kokiems skaičiams proporcingi skaičiai a(b + c), b(c + a) ir c(a + b)?
Atsakymų variantai rodomi tik registruotiems sistemos eTest.lt vartotojams. Mokytojo registracija, mokinio registracija
Taškų skaičius už teisingą atsakymą: 5
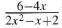
Klausimas #23
Lygybė
Atsakymų variantai rodomi tik registruotiems sistemos eTest.lt vartotojams. Mokytojo registracija, mokinio registracija
Taškų skaičius už teisingą atsakymą: 5
Klausimas #24
Iš sklidino kūgio formos indo (matmenis žr. paveikslėlyje) vandenį išpilame į kubo su kraštine 2 dm formos indą. Kokį aukštį sieks vanduo (decimetrais)?
Atsakymų variantai rodomi tik registruotiems sistemos eTest.lt vartotojams. Mokytojo registracija, mokinio registracija
Taškų skaičius už teisingą atsakymą: 5
Klausimas #25
Kvadratų ABC D ir EFGH kraštinė lygi a. Jie padėti plokštumoje taip, kad antrojo kvadrato viršūnė E sutampa su kvadrato ABC D centru. Kam lygus kvadratų bendros dalies plotas?
.jpg)
Atsakymų variantai rodomi tik registruotiems sistemos eTest.lt vartotojams. Mokytojo registracija, mokinio registracija
Taškų skaičius už teisingą atsakymą: 5
Klausimas #26
Sekos pirmi trys nariai yra a, b, c. Kiekvienas tolesnis narys yra lygus trijų prieš jį einančių narių sumai. Duota, kad a = 4 ir c = —b. Kuriam skaičiui b tos sekos devintas narys lygus 0?
Atsakymų variantai rodomi tik registruotiems sistemos eTest.lt vartotojams. Mokytojo registracija, mokinio registracija
Taškų skaičius už teisingą atsakymą: 5
Klausimas #27
Plokštumoje duota aibė tiesių, apibrėžtų lygtimis (m + l)x + (m - 2)y - 5m + 4 = 0, kur m — bet kuris skaičius. Kuris iš teiginių teisingas?
Atsakymų variantai rodomi tik registruotiems sistemos eTest.lt vartotojams. Mokytojo registracija, mokinio registracija
Taškų skaičius už teisingą atsakymą: 5
Klausimas #28
Kurią iš žemiau išvardytų sąlygų tenkina a, jei lygtis sinx = 0,5 turi lygiai vieną sprendinį intervale [0; a]?
Atsakymų variantai rodomi tik registruotiems sistemos eTest.lt vartotojams. Mokytojo registracija, mokinio registracija
Taškų skaičius už teisingą atsakymą: 5
Klausimas #29
Koks yra pozicinės sistemos pagrindas, jei joje teisinga lygybė 26 • 23 = 642?
Atsakymų variantai rodomi tik registruotiems sistemos eTest.lt vartotojams. Mokytojo registracija, mokinio registracija
Taškų skaičius už teisingą atsakymą: 5
Klausimas #30
Koks yra ilgiausias intervalas, kuriame funkcijos f(x) = |sinx| ir g(x) = sin|x| įgyja vienodas reikšmes?
Atsakymų variantai rodomi tik registruotiems sistemos eTest.lt vartotojams. Mokytojo registracija, mokinio registracija
Taškų skaičius už teisingą atsakymą: 5





