Matematikos konkursas "Kengūra" - 1997 - Junioras
Klausimas #1
Kiek skaitmenų yra skaičiaus 45 • 513 dešimtainiame užraše?
Atsakymų variantai rodomi tik registruotiems sistemos eTest.lt vartotojams. Mokytojo registracija, mokinio registracija
Taškų skaičius už teisingą atsakymą: 3
Klausimas #2
Šiais metais (1997 m.) mano amžius yra a metų. Tikuosi, kad gyvensiu dar labai ilgai, gal net visą amžinybę! Kuriais metais būčiau 10 kartų vyresnis, nei dabar?
Atsakymų variantai rodomi tik registruotiems sistemos eTest.lt vartotojams. Mokytojo registracija, mokinio registracija
Taškų skaičius už teisingą atsakymą: 3
Klausimas #3
Iš plokštumos taško išvesta 20 spindulių. Kiek daugiausia stačiųjų kampų gali sudaryti tie spinduliai?
Atsakymų variantai rodomi tik registruotiems sistemos eTest.lt vartotojams. Mokytojo registracija, mokinio registracija
Taškų skaičius už teisingą atsakymą: 3
Klausimas #4
Skaičiams a, b, c atvirkštinių skaičių sumos atvirkštinis yra:
Atsakymų variantai rodomi tik registruotiems sistemos eTest.lt vartotojams. Mokytojo registracija, mokinio registracija
Taškų skaičius už teisingą atsakymą: 3
Klausimas #5
Kiek mažiausiai kvadratėlių reikia užtušuoti, kad gautoji figūra turėtų simetrijos centrą? —
Atsakymų variantai rodomi tik registruotiems sistemos eTest.lt vartotojams. Mokytojo registracija, mokinio registracija
Taškų skaičius už teisingą atsakymą: 3
Klausimas #6
Kuri iš žemiau nurodytų aibių užtušuota paveikslėlyje?
Atsakymų variantai rodomi tik registruotiems sistemos eTest.lt vartotojams. Mokytojo registracija, mokinio registracija
Taškų skaičius už teisingą atsakymą: 3
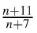
Klausimas #7
Skaičiaus
Atsakymų variantai rodomi tik registruotiems sistemos eTest.lt vartotojams. Mokytojo registracija, mokinio registracija
Taškų skaičius už teisingą atsakymą: 3
Klausimas #8
Vandens paviršiuje plūduriuoja 5 cm spindulio teniso kamuoliukas, paniręs į vandenį 2 cm. Ištraukto iš vandens kamuoliuko paviršiaus dalis sušlapusi. Kam lygus spindulys apskritimo, skiriančio kamuoliuko paviršiaus sausą dalį nuo sušlapusios?
Atsakymų variantai rodomi tik registruotiems sistemos eTest.lt vartotojams. Mokytojo registracija, mokinio registracija
Taškų skaičius už teisingą atsakymą: 3
Klausimas #9
Skaičius a = 999 2222 ir fc = 999 221 • 999 223 sieja sąryšis:
Atsakymų variantai rodomi tik registruotiems sistemos eTest.lt vartotojams. Mokytojo registracija, mokinio registracija
Taškų skaičius už teisingą atsakymą: 3
Klausimas #10
Į aikštę veda 6 gatvės. Iš jų 2 yra vienkrypčio eismo, kuriomis galima važiuoti tik aikštės kryptimi, o 4 likusios — dvikrypčio eismo. Kiek yra maršrutų nuvažiuoti į aikštę ir išvažiuoti iš jos?
Atsakymų variantai rodomi tik registruotiems sistemos eTest.lt vartotojams. Mokytojo registracija, mokinio registracija
Taškų skaičius už teisingą atsakymą: 3
Klausimas #11
Kokią plokštumos figūrą atitinka lygties x2 + xy — 0 sprendinių aibė?
Atsakymų variantai rodomi tik registruotiems sistemos eTest.lt vartotojams. Mokytojo registracija, mokinio registracija
Taškų skaičius už teisingą atsakymą: 4
Klausimas #12
Kiekviena stačiakampio kraštinė padalyta į 3 lygias dalis. Sujungus per centrą dalijimo taškus ir užtušavus kas antrą sritį, gautas pavaizduotas piešinys. Koks yra baltosios ir juodosios dalių plotų santykis?
Atsakymų variantai rodomi tik registruotiems sistemos eTest.lt vartotojams. Mokytojo registracija, mokinio registracija
Taškų skaičius už teisingą atsakymą: 4
Klausimas #13
Kiek yra tokių sveikųjų skaičių n, su kuriais skaičius
Atsakymų variantai rodomi tik registruotiems sistemos eTest.lt vartotojams. Mokytojo registracija, mokinio registracija
Taškų skaičius už teisingą atsakymą: 4
Klausimas #14
Marse rastos būtybės, kiekviena iš kurių turi galvų. Vienas mokslininkas parašė: „Kiekvienas Marso gyventojas turi dvi galvas". Kiek vėliau jis prisipažino apsirikęs. Kuris iš žemiau pateiktų teiginių yra teisingas?
Atsakymų variantai rodomi tik registruotiems sistemos eTest.lt vartotojams. Mokytojo registracija, mokinio registracija
Taškų skaičius už teisingą atsakymą: 4
Klausimas #15
Kuriai iš žemiau nurodytų realiųjų skaičių x ir y porų (x; y) egzistuoja toks skaičius a, kad teisingos nelygybės a
Atsakymų variantai rodomi tik registruotiems sistemos eTest.lt vartotojams. Mokytojo registracija, mokinio registracija
Taškų skaičius už teisingą atsakymą: 4
Klausimas #16
Paveikslėlyje pavaizduota detalė sudaryta iš keturių kubelių 1x1x1. Kurio kubo negalima sudėti iš tokių detalių?
Atsakymų variantai rodomi tik registruotiems sistemos eTest.lt vartotojams. Mokytojo registracija, mokinio registracija
Taškų skaičius už teisingą atsakymą: 4
Klausimas #17
Penkių skaičių sekoje nenurodyti trys skaičiai: 2;...;...;...; 500. Duota, kad kiekvienas sekos narys, pradedant trečiuoju, yra lygus dviejų prieš jį esančių narių sandaugai. Kam lygi trijų nenurodytų skaičių sandauga?
Atsakymų variantai rodomi tik registruotiems sistemos eTest.lt vartotojams. Mokytojo registracija, mokinio registracija
Taškų skaičius už teisingą atsakymą: 4
Klausimas #18
Gardelėje 8 x 8 kai kurie kvadratėliai užtušuoti, kaip pavaizduota paveikslėlyje. Kiek yra iš kvadratėlių sudarytų kvadratų, kuriuose baltų ir juodų kvadratėlių yra tiek pat?
Atsakymų variantai rodomi tik registruotiems sistemos eTest.lt vartotojams. Mokytojo registracija, mokinio registracija
Taškų skaičius už teisingą atsakymą: 4
Klausimas #19
Lygiakraščio trikampio ABC kraštinė lygi 6. Kraštinių vidurio taškai yra P, Q, R. Kam lygus paveikslėlyje užtušuotos srities PQR plotas?
Atsakymų variantai rodomi tik registruotiems sistemos eTest.lt vartotojams. Mokytojo registracija, mokinio registracija
Taškų skaičius už teisingą atsakymą: 4
Klausimas #20
Paveikslėliuose pavaizduotos penkios figūros. Iš keturių iš jų galima sudėti kvadratą. Kurios figūros neprireiks?
Atsakymų variantai rodomi tik registruotiems sistemos eTest.lt vartotojams. Mokytojo registracija, mokinio registracija
Taškų skaičius už teisingą atsakymą: 4
Klausimas #21
Kuri iš žemiau išvardytų funkcijų tenkina sąlygą f(f(x)) = 4x — 3?
Atsakymų variantai rodomi tik registruotiems sistemos eTest.lt vartotojams. Mokytojo registracija, mokinio registracija
Taškų skaičius už teisingą atsakymą: 5
Klausimas #22
Trikampio kraštinių ilgiai yra 1, a, 3, ir 1 < a < 3. Kokį didžiausią plotą gali turėti trikampis, tenkinantis tas sąlygas?
Atsakymų variantai rodomi tik registruotiems sistemos eTest.lt vartotojams. Mokytojo registracija, mokinio registracija
Taškų skaičius už teisingą atsakymą: 5
Klausimas #23
Trikampio aptvaro ABC kraštai yra 16 m, 20 m ir 12 m. Aptvaras aptvertas aukšta tvora, bet jame esanti žirafa, turėdama ilgą kaklą, gali skabyti žolę atstumu iki 2 m už tvoros. Kam apytiksliai lygus plotas (m2) aptvaro išorėje, kurį gali nuėsti žirafa?
Atsakymų variantai rodomi tik registruotiems sistemos eTest.lt vartotojams. Mokytojo registracija, mokinio registracija
Taškų skaičius už teisingą atsakymą: 5
Klausimas #24
Tarkime, kad m — lyginis sveikasis skaičius, o n — bet kuris sveikasis skaičius. Skaičius (m + 1)2 + n(m + 1) visada:
Atsakymų variantai rodomi tik registruotiems sistemos eTest.lt vartotojams. Mokytojo registracija, mokinio registracija
Taškų skaičius už teisingą atsakymą: 5
Klausimas #25
Atkarpoje AB taškai žymimi pagal tokią taisyklę: pirmu žingsniu žymimas atkarpos AB vidurys, o kiekvienu sekančiu žingsniu žymimas vidurys kokios nors atkarpos, kurios galai yra du gretimi anksčiau pasižymėti taškai. Kiek mažiausiai žingsnių prireiks norint pažymėti tašką, dalijantį atkarpą AB santykiu 5:11?
Atsakymų variantai rodomi tik registruotiems sistemos eTest.lt vartotojams. Mokytojo registracija, mokinio registracija
Taškų skaičius už teisingą atsakymą: 5
Klausimas #26
Jeigu |x — y| = |y — z| = |z — t| = 1, tai skaičius x — t negali būti lygus:
Atsakymų variantai rodomi tik registruotiems sistemos eTest.lt vartotojams. Mokytojo registracija, mokinio registracija
Taškų skaičius už teisingą atsakymą: 5
Klausimas #27
Eilute surašyk vieną šalia kito 10 iš eilės einančių pirminių skaičių, pradėdamas skaičiumi 2. Gautame daugiaženkliame skaičiuje išbrauk pusę skaitmenų taip, kad naujasis skaičius būtų pats didžiausias įmanomas. Koks yra to skaičiaus penktas iš kairės skaitmuo?
Atsakymų variantai rodomi tik registruotiems sistemos eTest.lt vartotojams. Mokytojo registracija, mokinio registracija
Taškų skaičius už teisingą atsakymą: 5
Klausimas #28
Su kuria skaičiaus a reikšme lygtis |||x| — 1| — a| = 4 turi lygiai penkis sprendinius?
Atsakymų variantai rodomi tik registruotiems sistemos eTest.lt vartotojams. Mokytojo registracija, mokinio registracija
Taškų skaičius už teisingą atsakymą: 5
Klausimas #29
Kiek sveikųjų skaičių tenkina nelygybę x(x — 100) < 1997?
Atsakymų variantai rodomi tik registruotiems sistemos eTest.lt vartotojams. Mokytojo registracija, mokinio registracija
Taškų skaičius už teisingą atsakymą: 5
Klausimas #30
Kokia daugianario
P(x) = (x- 1996)(0 - 1997)(x - 1) + 1997 visų koeficientų suma?
Atsakymų variantai rodomi tik registruotiems sistemos eTest.lt vartotojams. Mokytojo registracija, mokinio registracija
Taškų skaičius už teisingą atsakymą: 5





