Matematikos konkursas "Kengūra" - 2002 - Senjoras
Klausimas #1
Su kuriuo natūraliuoju n skaičiai
20 + 21 + 22 + ... + 2n-1 + 2n ir 2 500 000
skiriasi mažiausiai?
Atsakymų variantai rodomi tik registruotiems sistemos eTest.lt vartotojams. Mokytojo registracija, mokinio registracija
Taškų skaičius už teisingą atsakymą: 3
Klausimas #2
Petras sudarė genealoginį medį, į kurį įtraukė tik vyrus — savo protėvius ir jų palikuonius. Rodyklės nukreiptos nuo tėvo į sūnų. Koks yra Petro tėvo brolio senelio brolio sūnaus vardas?
Atsakymų variantai rodomi tik registruotiems sistemos eTest.lt vartotojams. Mokytojo registracija, mokinio registracija
Taškų skaičius už teisingą atsakymą: 3
Klausimas #3
Viena briaunainio siena yra penkiakampis. Kiek mažiausiai sienų gali turėti briau-nainis?
Atsakymų variantai rodomi tik registruotiems sistemos eTest.lt vartotojams. Mokytojo registracija, mokinio registracija
Taškų skaičius už teisingą atsakymą: 3
Klausimas #4
Viešbutyje tris vasaros mėnesius būna užimta vidutiniškai 88% kambarių, o likusius devynis mėnesius užimta vidutiniškai 44% kambarių. Kiek procentų kambarių vidutiniškai užimta per visus metus?
Atsakymų variantai rodomi tik registruotiems sistemos eTest.lt vartotojams. Mokytojo registracija, mokinio registracija
Taškų skaičius už teisingą atsakymą: 3
Klausimas #5
Tegu a ir b — natūralieji skaičiai. Jeigu skaičių a ir b didžiausiasis bendrasis daliklis lygus 3, o a : b = 0,4, tai sandauga ab lygi
Atsakymų variantai rodomi tik registruotiems sistemos eTest.lt vartotojams. Mokytojo registracija, mokinio registracija
Taškų skaičius už teisingą atsakymą: 3
Klausimas #6
Prizmė turi 2002 viršūnes. Kiek ji turi briaunų?
Atsakymų variantai rodomi tik registruotiems sistemos eTest.lt vartotojams. Mokytojo registracija, mokinio registracija
Taškų skaičius už teisingą atsakymą: 3
Klausimas #7
Cilindrinės stiklinės matmenys nurodyti paveikslėlyje. Į ją įpilta vandens, ir ji paversta 45° kampu. Kokią stiklinės tūrio dalį užima vanduo?
Atsakymų variantai rodomi tik registruotiems sistemos eTest.lt vartotojams. Mokytojo registracija, mokinio registracija
Taškų skaičius už teisingą atsakymą: 3
Klausimas #8
Žemiau parašytose nelygybėse kampų didumai išreikšti radianais. Kuri iš parašytų nelygybių teisinga?
Atsakymų variantai rodomi tik registruotiems sistemos eTest.lt vartotojams. Mokytojo registracija, mokinio registracija
Taškų skaičius už teisingą atsakymą: 3
Klausimas #9
Virstan vandeniui ledu turis padidėja 1/11. Kuria dalimi sumažėja ištirpinto ledo tūris?
Atsakymų variantai rodomi tik registruotiems sistemos eTest.lt vartotojams. Mokytojo registracija, mokinio registracija
Taškų skaičius už teisingą atsakymą: 3
Klausimas #10
Žemės pusiaujo ilgis apytikriai lygus 40 000 km. Kam apytikriai lygus 60° šiaurės platumos lygiagretės ilgis?
Atsakymų variantai rodomi tik registruotiems sistemos eTest.lt vartotojams. Mokytojo registracija, mokinio registracija
Taškų skaičius už teisingą atsakymą: 3
Klausimas #11
Paveikslėlyje pavaizduotų trikampių plotai yra A0, A1 , A2, A3. Ploto A0 trikampis statusis, kiti trys trikampiai — lygiakraščiai. Kuri iš lygybių teisinga?
Atsakymų variantai rodomi tik registruotiems sistemos eTest.lt vartotojams. Mokytojo registracija, mokinio registracija
Taškų skaičius už teisingą atsakymą: 4
Klausimas #12
Vienos šaunios kalbos abėcėlė turi tik 6 raides A, B, E, L, R, S, ir būtent tokia jų tvarka. Kiekvieną kalbos žodį sudaro šitų šešių raidžių seka, kurioje raidė imama lygiai vieną kartą. Be to, kiekviena šitų raidžių seka yra tos kalbos žodis. Visi žodžiai surašyti į žodyną abėcėline tvarka. Koks žodis stovi 537-toje žodyno vietoje?
Atsakymų variantai rodomi tik registruotiems sistemos eTest.lt vartotojams. Mokytojo registracija, mokinio registracija
Taškų skaičius už teisingą atsakymą: 4
Klausimas #13
Šiuolaikinė skulptūra buvo padaryta išpjovus stačiakampį gretasienį iš kubo formos akmens. Kubo tūris buvo 512 dm3 . Koks yra pavaizduotos skulptūros paviršiaus plotas?
Atsakymų variantai rodomi tik registruotiems sistemos eTest.lt vartotojams. Mokytojo registracija, mokinio registracija
Taškų skaičius už teisingą atsakymą: 4
Klausimas #14
Žūklėje Petras pagavo tiek pat žuvų, kaip ir jo sūnus Lukas. Jonas pagavo triskart daugiau žuvų negu jo sūnus. Visi kartu jie pagavo 35 žuvis. Kiek žuvų pagavo Petras?
Atsakymų variantai rodomi tik registruotiems sistemos eTest.lt vartotojams. Mokytojo registracija, mokinio registracija
Taškų skaičius už teisingą atsakymą: 4
Klausimas #15
Koks yra didumas kampo tarp atkarpų AB ir ВС (žr. paveikslėlį), kur A, B ir C yra kubo briaunų vidurio taškai?
Atsakymų variantai rodomi tik registruotiems sistemos eTest.lt vartotojams. Mokytojo registracija, mokinio registracija
Taškų skaičius už teisingą atsakymą: 4
Klausimas #16
Futbolo turnyre dalyvavo dešimt komandų. Kiekviename susitikime laimėjusi komanda gavo 3 taškus, pralaimėjusi — 0 taškų, o už lygiąsias abi komandos gavo po 1 tašką. Kiekviena komanda su kiekviena kita sužaidė po vieną susitikimą. Visos komandos kartu surinko 130 taškų. Kiek susitikimų baigėsi lygiosiomis?
Atsakymų variantai rodomi tik registruotiems sistemos eTest.lt vartotojams. Mokytojo registracija, mokinio registracija
Taškų skaičius už teisingą atsakymą: 4
Klausimas #17
Pavaizduotos trejos svarstyklės yra pusiausviros. Keli svarsčiai C atsvertų svarstį B?
Atsakymų variantai rodomi tik registruotiems sistemos eTest.lt vartotojams. Mokytojo registracija, mokinio registracija
Taškų skaičius už teisingą atsakymą: 4
Klausimas #18
Vienoje bendrovėje įdiegus naujas technologijas produkcijos savikaina sumažėjo 50%. Po to buvo sumažintas darbuotojų skaičius, ir produkcijos savikaina sumažėjo 40%. Pagaliau buvo įvesta tobulesnė valdymo sistema, ir tai sumažino produkcijos savikainą 10%. Kiek procentų sumažėjo produkcijos savikaina po visų trijų pertvarkymų?
Atsakymų variantai rodomi tik registruotiems sistemos eTest.lt vartotojams. Mokytojo registracija, mokinio registracija
Taškų skaičius už teisingą atsakymą: 4
Klausimas #19
Achilas vejasi vėžlį. Iš pradžių atstumas tarp jų buvo 990 m. Achilas kiekvieną sekundę įveikia 10 metrų, o vėžlys 1 metrą nuropoja per 10 sekundžių. Per kiek sekundžių Achilas pavys vėžlį?
Atsakymų variantai rodomi tik registruotiems sistemos eTest.lt vartotojams. Mokytojo registracija, mokinio registracija
Taškų skaičius už teisingą atsakymą: 4
Klausimas #20
Paveikslėlyje visi apskritimai turi tą patį spindulį. Kokį?
Atsakymų variantai rodomi tik registruotiems sistemos eTest.lt vartotojams. Mokytojo registracija, mokinio registracija
Taškų skaičius už teisingą atsakymą: 4
Klausimas #21
Matematikos mokytojas lentoje parašė 1 ir paprašė Tomo parašyti kitą natūralųjį skaičių. Tada mokiniai paeiliui prieidavo prie lentos ir kiekvienas parašydavo visų lentoje surašytų skaičių sumą. Tam tikru momentu Petras parašė 1000. Kurio iš nurodytų skaičių Tomas tikrai negalėjo būti parašęs?
Atsakymų variantai rodomi tik registruotiems sistemos eTest.lt vartotojams. Mokytojo registracija, mokinio registracija
Taškų skaičius už teisingą atsakymą: 5
Klausimas #22
Plokštumoje yra 10 taškų. Penki iš jų yra vienoje tiesėje, ir jokioje kitoje tiesėje nėra daugiau kaip dviejų duotųjų taškų. Kiek yra trikampių su viršūnėmis tuose taškuose?
Atsakymų variantai rodomi tik registruotiems sistemos eTest.lt vartotojams. Mokytojo registracija, mokinio registracija
Taškų skaičius už teisingą atsakymą: 5
Klausimas #23
Aišku, kad skaičius 2002! = 1 • 2 • 3 ... 2001 • 2002 dalijasi iš 2001. Didžiausias
toks natūralusis k, jog 2002! dalijasi iš 2001k, yra
Atsakymų variantai rodomi tik registruotiems sistemos eTest.lt vartotojams. Mokytojo registracija, mokinio registracija
Taškų skaičius už teisingą atsakymą: 5
Klausimas #24
Dviejų natūraliųjų skaičių suma didesnė už 27. Pirmas skaičius daugiau nei dvigubai didesnis už antrą skaičių, sumažintą 12 vienetų. Antras skaičius daugiau nei devyniskart didesnis už pirmąjį skaičių, sumažintą 10 vienetų. Kokie tai skaičiai?
Atsakymų variantai rodomi tik registruotiems sistemos eTest.lt vartotojams. Mokytojo registracija, mokinio registracija
Taškų skaičius už teisingą atsakymą: 5
Klausimas #25
Kiek yra nelygių trikampių, kurių viršūnės yra taisyklingojo dešimtkampio viršūnėse?
Atsakymų variantai rodomi tik registruotiems sistemos eTest.lt vartotojams. Mokytojo registracija, mokinio registracija
Taškų skaičius už teisingą atsakymą: 5
Klausimas #26
Pavaizduoto apskritimo spindulys yra 1, o centras — taškas O. Srities A plotas yra 5π/12 - 1/4 , srities B plotas π/4 - 1/2. Srities C plotas lygus
Atsakymų variantai rodomi tik registruotiems sistemos eTest.lt vartotojams. Mokytojo registracija, mokinio registracija
Taškų skaičius už teisingą atsakymą: 5
Klausimas #27
Kiek iš natūraliųjų skaičių nuo 1 iki 102002 turi skaitmenų sumą, lygią 2?
Atsakymų variantai rodomi tik registruotiems sistemos eTest.lt vartotojams. Mokytojo registracija, mokinio registracija
Taškų skaičius už teisingą atsakymą: 5
Klausimas #28
Butelyje yra 21 litras 18% skruzdžių rūgšties tirpalo. Kiek litrų skysčio reikia pakeisti tokiu pat kiekiu 90% skruzdžių rūgšties tirpalo, kad gautume 42% koncentracijos tirpalą?
Atsakymų variantai rodomi tik registruotiems sistemos eTest.lt vartotojams. Mokytojo registracija, mokinio registracija
Taškų skaičius už teisingą atsakymą: 5
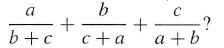
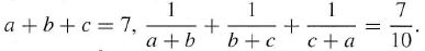
Klausimas #29
Duota, kad
Kam lygu
Atsakymų variantai rodomi tik registruotiems sistemos eTest.lt vartotojams. Mokytojo registracija, mokinio registracija
Taškų skaičius už teisingą atsakymą: 5
Klausimas #30
Žaidimo lentoje yra trys apskritimai su pažymėtais taškais A1, A2, ..., А25, B1, B2, ..., B12, C1, C2, ..., C18. Lentoje žaidėjo loštukas startuoja iš taško A1 ir užima naują padėtį pagal tokią taisyklę: kiekvienu ėjimu galima peršokti du tarpelius tame pačiame apskritime tiek prieš, tiek pagal laikrodžio rodyklę.
Pavyzdžiui, iš C5 galima atlikti ėjimų seką C5 → C3 → C1(= A22) → A20→ A18 → A20, bet negalima iš C2 iš karto eiti į A23. Kiek yra pažymėtų taškų, į kuriuos negali patekti loštukas?
Atsakymų variantai rodomi tik registruotiems sistemos eTest.lt vartotojams. Mokytojo registracija, mokinio registracija
Taškų skaičius už teisingą atsakymą: 5





