Matematikos konkursas "Kengūra" - 2007 - Senjoras
Klausimas #1
Kokia yra abiejų lošimo kauliukų visų nematomų sienelių taškų suma?
Atsakymų variantai rodomi tik registruotiems sistemos eTest.lt vartotojams. Mokytojo registracija, mokinio registracija
Taškų skaičius už teisingą atsakymą: 3
Klausimas #2
Kad gautume 88, skaičių 44 reikia pakelti laipsniu:
Atsakymų variantai rodomi tik registruotiems sistemos eTest.lt vartotojams. Mokytojo registracija, mokinio registracija
Taškų skaičius už teisingą atsakymą: 3
Klausimas #3
Užtušuoto trikampio plotas yra
. Kam lygus trikampio ABC plotas?
Atsakymų variantai rodomi tik registruotiems sistemos eTest.lt vartotojams. Mokytojo registracija, mokinio registracija
Taškų skaičius už teisingą atsakymą: 3
Klausimas #4
Atsakymų variantai rodomi tik registruotiems sistemos eTest.lt vartotojams. Mokytojo registracija, mokinio registracija
Taškų skaičius už teisingą atsakymą: 3
Klausimas #5
Rutulys atšoka nuo kengūriškojo biliardo sienelės 45° kampu (žr. pav.). Į kurią kišenę jis įkris?
Atsakymų variantai rodomi tik registruotiems sistemos eTest.lt vartotojams. Mokytojo registracija, mokinio registracija
Taškų skaičius už teisingą atsakymą: 3
Klausimas #6
Ratu surašyti penki skaičiai. Jokių dviejų gretimų ir jokių trijų gretimų skaičių suma nesidalija iš 3. Keli iš tų skaičių dalijasi iš 3?
Atsakymų variantai rodomi tik registruotiems sistemos eTest.lt vartotojams. Mokytojo registracija, mokinio registracija
Taškų skaičius už teisingą atsakymą: 3
Klausimas #7
Laikydamas egzaminą Petras teisingai atsakė į 80% testo klausimų, o į likusius 5 testo klausimus atsakymų nežinojo. Kiek klausimų buvo teste?
Atsakymų variantai rodomi tik registruotiems sistemos eTest.lt vartotojams. Mokytojo registracija, mokinio registracija
Taškų skaičius už teisingą atsakymą: 3
Klausimas #8
Kurie iš žemiau pavaizduotų kunų yra tas pats, kaip parodytasis dešinėje, tik pasuktas erdvėje?
Atsakymų variantai rodomi tik registruotiems sistemos eTest.lt vartotojams. Mokytojo registracija, mokinio registracija
Taškų skaičius už teisingą atsakymą: 3
Klausimas #9
Paveikslėlyje taškai B, C, D dalija atkarpą AE į 4 lygias dalis. Nubraižyti trys pusapskritimiai, kurių skersmenys yra AE, A D ir DE. Koks yra pusapskritimio AE ilgio i r pusapskritimių A D ir D E ilgių
sumos santykis?
Atsakymų variantai rodomi tik registruotiems sistemos eTest.lt vartotojams. Mokytojo registracija, mokinio registracija
Taškų skaičius už teisingą atsakymą: 3
Klausimas #10
Matematiniame voratinklyje visų atkarpų ilgiai yra sveikieji skaičiai. Kam lygus x?
Atsakymų variantai rodomi tik registruotiems sistemos eTest.lt vartotojams. Mokytojo registracija, mokinio registracija
Taškų skaičius už teisingą atsakymą: 3
Klausimas #11
Plokštumoje nubraižytas kvadratas ABCD, kurio kraštinės ilgis yra 1. Taip pat nubraižyti visi kvadratai, kurių dvi viršūnės yra kvadrato ABCD viršūnės. Kokį plotą uždengia tie kvadratai?
Atsakymų variantai rodomi tik registruotiems sistemos eTest.lt vartotojams. Mokytojo registracija, mokinio registracija
Taškų skaičius už teisingą atsakymą: 4
Klausimas #12
Kampas B yra 25% mažesnis už kampą Y ir 50% didesnis už kampą A. Kiek procentų kampas Y yra didesnis už kampą A?
Atsakymų variantai rodomi tik registruotiems sistemos eTest.lt vartotojams. Mokytojo registracija, mokinio registracija
Taškų skaičius už teisingą atsakymą: 4
Klausimas #13
Jei x ir y yra sveikieji skaičiai, o 2x+1 + 2х = 3y+2 - 3y, tai x yra lygus:
Atsakymų variantai rodomi tik registruotiems sistemos eTest.lt vartotojams. Mokytojo registracija, mokinio registracija
Taškų skaičius už teisingą atsakymą: 4
Klausimas #14
Kam lygu
Atsakymų variantai rodomi tik registruotiems sistemos eTest.lt vartotojams. Mokytojo registracija, mokinio registracija
Taškų skaičius už teisingą atsakymą: 4
Klausimas #15
Nubrėžti du pusskrituliai (žr. pav.). Didesniojo pusskritulio styga CD, kurios ilgis yra 4, yra lygiagreti skersmeniui ir liečia mažesnįjį pusskritulį. Kam lygus užtušuotos figūros plotas?
Atsakymų variantai rodomi tik registruotiems sistemos eTest.lt vartotojams. Mokytojo registracija, mokinio registracija
Taškų skaičius už teisingą atsakymą: 4
Klausimas #16
Penkių iš eilės einančių sveikųjų skaičių suma yra lygi sekančių trijų skaičių sumai. Didžiausias iš tų aštuonių skaičių yra:
Atsakymų variantai rodomi tik registruotiems sistemos eTest.lt vartotojams. Mokytojo registracija, mokinio registracija
Taškų skaičius už teisingą atsakymą: 4
Klausimas #17
Tą dieną, kai gimė Tomas, jo mamai sukako 20 metų, taigi jų gimtadieniai sutampa. Kiek bus gimtadienių, kai mamos amžius dalysis iš Tomo amžiaus?
Atsakymų variantai rodomi tik registruotiems sistemos eTest.lt vartotojams. Mokytojo registracija, mokinio registracija
Taškų skaičius už teisingą atsakymą: 4
Klausimas #18
Yra 21.00 valanda, o aš važiuoju 100 km/h greičiu. Važiuojant tokiu greičiu benzino man užtektų 80 km. Artimiausia degalinė yra už 100 km. Benzino kiekis, kurio reikia mano automobiliui nuvažiuoti 1 km, yra proporcingas automobilio greičiui. Kada anksčiausiai aš galiu atvykti į degalinę?
Atsakymų variantai rodomi tik registruotiems sistemos eTest.lt vartotojams. Mokytojo registracija, mokinio registracija
Taškų skaičius už teisingą atsakymą: 4
Klausimas #19
Sferos spindulys yra 3, o jos centras yra koordinačių pradžia. Kiek yra tos sferos paviršiaus taškų, kurių koordinatės — sveikieji skaičiai?
Atsakymų variantai rodomi tik registruotiems sistemos eTest.lt vartotojams. Mokytojo registracija, mokinio registracija
Taškų skaičius už teisingą atsakymą: 4
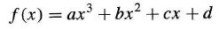
Klausimas #20
Kuris iš nurodytų grafikų yra funkcijos
Atsakymų variantai rodomi tik registruotiems sistemos eTest.lt vartotojams. Mokytojo registracija, mokinio registracija
Taškų skaičius už teisingą atsakymą: 4
Klausimas #21
Kuris iš nurodytų skaičių nėra reiškinio
Atsakymų variantai rodomi tik registruotiems sistemos eTest.lt vartotojams. Mokytojo registracija, mokinio registracija
Taškų skaičius už teisingą atsakymą: 5
Klausimas #22
Atsakymų variantai rodomi tik registruotiems sistemos eTest.lt vartotojams. Mokytojo registracija, mokinio registracija
Taškų skaičius už teisingą atsakymą: 5
Klausimas #23
Ona, Marijona ir Simona paeiliui ridena lošimo kauliuką, kol viena kuri žaidėja laimi. Ona laimi, jei iškrenta 1, 2, 3. Marijona laimi, jei iškrenta 4 arba 5. Simona laimi, jeigu iškrenta 6. Kokia tikimybė, kad laimės Simona?
Atsakymų variantai rodomi tik registruotiems sistemos eTest.lt vartotojams. Mokytojo registracija, mokinio registracija
Taškų skaičius už teisingą atsakymą: 5
Klausimas #24
Kiek laipsnių turi rombo smailusis kampas, jeigu rombo kraštinės ilgis lygus įstrižainių ilgių geometriniam vidurkiui?
Atsakymų variantai rodomi tik registruotiems sistemos eTest.lt vartotojams. Mokytojo registracija, mokinio registracija
Taškų skaičius už teisingą atsakymą: 5
Klausimas #25
Dešinėje matome funkcijos
grafiko dalį. Kam lygus bl
Atsakymų variantai rodomi tik registruotiems sistemos eTest.lt vartotojams. Mokytojo registracija, mokinio registracija
Taškų skaičius už teisingą atsakymą: 5
Klausimas #26
Kiek yra tokių sveikųjų skaičių a, su kuriais kvadratinė lygtis x2 + ax + 2007 = 0 turi du sveikuosius sprendinius?
Atsakymų variantai rodomi tik registruotiems sistemos eTest.lt vartotojams. Mokytojo registracija, mokinio registracija
Taškų skaičius už teisingą atsakymą: 5
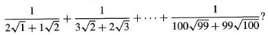
Klausimas #27
Kam lygi suma
Atsakymų variantai rodomi tik registruotiems sistemos eTest.lt vartotojams. Mokytojo registracija, mokinio registracija
Taškų skaičius už teisingą atsakymą: 5
Klausimas #28
Vakarėlyje penki draugai keičiasi dovanomis — kiekvienas įteikia dovaną vienam draugui ir pats gauna dovaną tik iš vieno draugo (žinoma, pats sau dovanos niekas neduoda). Keliais būdais galima tai padaryti?
Atsakymų variantai rodomi tik registruotiems sistemos eTest.lt vartotojams. Mokytojo registracija, mokinio registracija
Taškų skaičius už teisingą atsakymą: 5
Klausimas #29
Sekos nariai 1, 2, 3, 4, 5, 1, 2, 3, 4, 5, ... surašomi spirale languotame popieriuje pradedant užtušuotu langeliu. Koks skaičius bus įrašytas 100-ajame langelyje virš užtušuotojo?
Atsakymų variantai rodomi tik registruotiems sistemos eTest.lt vartotojams. Mokytojo registracija, mokinio registracija
Taškų skaičius už teisingą atsakymą: 5
Klausimas #30
Didėjanti seka 1, 3, 4, 9, 10, 12, 13, ... susideda tik iš visų trejeto laipsnių ir skaičių, kurie yra skirtingų trejeto laipsnių sumos. Koks yra 100-tasis tos sekos narys?
Atsakymų variantai rodomi tik registruotiems sistemos eTest.lt vartotojams. Mokytojo registracija, mokinio registracija
Taškų skaičius už teisingą atsakymą: 5





